
Dhom Family Coat of Arms
Source: Dhom: 1682-1984
Settlers XXXVI: The Dohm Tradition Editor's Note: The legacy of the Dohm ("Dhom") family lives on in Sullivan County. Dohm's Summit is a geographical prominence on Ringer Hill where Valentine Dohm and his family lived. The surviving parts of the residence had been converted to a hunter's shack in 2003. In the mid-1800s, this Dohm family lived "across the way" from Michael Sweeney, my great-great-grandfather. I know they must have had a close relationship, these two emigrant families, one Irish and one German. In 1878, after the death of his wife, Catherine, Michael rearranged his estate to make his sons the heirs to part of his land. The records of the probate show that Michael had entrusted the original of his will to Valentine Dohm some ten years earlier. For an illiterate Irish farmer to do so would have been an act of substantial trust and friendship. Bob Sweeney This Book is Dedicated To EMIL DHOM

Dhom: 1682-1984
Book Cover
1984
with a Transcription by Linda McDonald
and Photo Scans by Derek Davis
The following story, while not directed at the Sullivan County Dohms, nevertheless gives us a full perspective on the family heritage in what is now Germany, their arrival in the United States, and the expansion of one branch of the Dohms in the central part of the United States. The reader will note, on page 53 of the second part of this text, that the Dhoms in Germany were aware of the emigration to Sullivan County, PA, and actually regained contact over 100 years after the emigration with a Dohm descendant in Dushore. We are grateful to Linda (Karge) McDonald of Cherry Mills, PA for transcribing the text on our behalf.
Sullivan County Historian
of Imsweiler
West Germany

Emil Dhom
Source: Dhom: 1682-1984
Without Emil's kind help and thoughtful consideration, we would not have been able to continue this family history beyond our immigrant ancestor, Michael Valentine Dohm. Our sincere thanks we give to our dear cousin, Emil. We would like to give Emil all the credit for the time it has taken to research and photostat all the information and legal documents pertaining to Germany.
TABLE OF CONTENTS
THE FIRST DHOMS
Emil is now content to have finished his investigation about the Dhom Family.This has happened a long time after the publication about his mother's family. The reason is, that he knew very little about his own family.< Everything that he now knows had to be investigated with the utmost carefulness to get unobjectionable results.
Everyone who studies genealogy wants to know where their ancestors came from. In our case, we can say the village of Ruppertsecken in the Rhineland-Pfalz area of Germany was the native country of our ancestors.1 But before settling in Ruppertsecken they lived in Wurzweiler. The village of Wurzweiler, below the castle Ruppertsecken, belonged to the Baron of Kerpen whose family owned estates on the river Rhine. This family had taken possession of Wurzweiler, but Emil doesn't know how this happened. He suspects that the country was depopulated after the Thirty Years War, so the Baron and his family were interested in finding taxable settlers to repopulate this area. This is very possibly the way members of the Dhom family who lived in the region of the Rhine came to Wurzweiler. A similar story is known from the family, Stollhoff, who also came from the region Rhine.
Because the Baron owned the village Wurzweiler only, the surrounding region was considered a foreign country. The citizens felt isolated. To get rid of this isolation they migrated to Ruppertsecken, or they married a foreigner. Though it was easier to be a farmer in Wurzweiler than Ruppertsecken, the fact that they migrated confirms the opinion that Wurzweiler was isolated. Later, before 1800, nobody from the family Dhom had returned to Wurzweiler. To obtain more freedom, they preferred to move to the poor village of Ruppertsecken.
1Michael V. Dhom lists his area of residence as Bavaria. Although this sounds contradictory, it is correct. A direct quote from the letter of Robert Dhom says "If you write that the Dhoms came from Bavaria, that is correct; as after the Congress of Vienna, last century,the Dukes and latter Kings of Bavaria (Wittelsbacher) became also Kings of Rhineland-Palatina (Pfalz) which lasted until 1918."
Ruppertsecken belonged to the territory of Kurpfalz and the district office was in the remote town of Erbesvudesheim. All of the Dhoms who decended from Ruppertsecken write their names with the same spelling.
In the parochial registers one can find the following names: Thom, Dom, Domen, Thum, Thuum, Dohm, Dohim.Some families were forced by the bureaucracy (local ruling power) to write their names wrong. Most of the German genealogists in the area suppose that the country of origin was France and the spelling of our name in former times was De Homms. It was recently learned by a Dutchman who writes his name "Domms", that his family came from France. It is highly suspected that the Dhoms came from France to the regions of the Rhine and Ruhr but at the time of this writing there is no documented proof. Today there still live in the area, families with resembling names.
The late Professor Dr. Ernst Christman suggests that the name Dhom is derived from the Christian name "Thomas", but this is also only supposition.
The First Dhoms
To the first Dhoms belonged four persons: we can say with certainty they came from the village Wurzweiler and from there they moved to Ruppertsecken. The third one came to Ruppertsecken later. Emil believes four Dhoms were brothers but there is no documented proof. After the Thirty Years War2, this region was deserted and there was no population. The government tried to settle people coming from other regions. They came with their families because one alone was not able to exist. They came to this country because they hoped to find a new livelihood.
2The Thirty Years War in Germany took place from 1618 to 1648. Protestants fought against the Catholics, each allying themselves with foreign nationalities professing similiar beliefs until every major country of Europe was dragged into the fighting. It is estimated that in many sections of Germany 75 percent of the inhabitants were killed in the struggle. Equally bad, 66 percent of the houses, 85 percent of the horses, and 82 percent of the cattle were wiped out.
In the parochial register of Imsweiler is found the following registrations:
1. Johannes Domm, living in Wurzweiler married Anna Ottilie Sax from Ruppertsecken on May 5, 1706. She died on October 5, 1771, when she was already widowed. According to the parochial register, she was 84 years old when she died, so she had to have been born in 1687.
2. Valentin Dom, moved from Wurzweiler to Ruppertsecken in 1705. His funeral was on March 13,1763. His age is listed as 89 years, so he had been born in 1674. As a widower he married Anna Maria Schroder from Rockenhausen on January 29, 1744.
3. Urban Dhom, the third Dhom who is mentioned in 1708 in Ruppertsecken. His funeral was in Marienthal on September 21, 1752. He was about 70 years old when he died; he would have been born in the year 1682. His wife was Maria Agnes; her maiden name is unknown. Urban is the most important person in our family tree, for his descendants are known. He is the ancestor of all Dhoms who trace their family history to Ruppertsecken.
4. Johann Peter Dhom, probably the youngest of these brothers. He was married to Maria Eva, maiden name is unknown. After her death he remarried. The name of the second wife was Margaretha Rittmann, who probably was from Rockenhausen. It is possible Johann Peter was born in 1685.
SYNOPSIS:
Christian Names Year of Birth Wife
Johannes 1671 Anna Ottile Sax
Valentin 1674 2nd wife: Anna Maria Schroder
Urban 1682 Maria Agnes
Johann Peter 1685 1st wife: Maria Eva
2nd wife: Margaretha
Rittmann

Family Group for Urban Dhom
Source: Dhom: 1682-1984

Dhom Family Tree--Ruppertsecken to Newton, Illinois, USA
Source: Dhom: 1682-1984

Family Group for Johannes Dhom
Source: Dhom: 1682-1984
The second known generation of importance to us is that of Johannes Dhom and his wife Anna Margaretha Braun. Among his many interests was that of politics. He was mayor in Ruppertsecken when he was 31 years old and also again in 1778. During his time in office, there was a quarrel over zoning which was brought to an end during his administrations.
During these days the people lived close together due to the fact that there was not much room. Johannes lived with the bickering and hatred of all his neighbors. He wrote to the town of Erbesbudsheim to the head administrative office. To end this fighting the people made borders of stone to divide each person’s property, thus ending the fighting.
In 1794 he became the head administrative officer. His time in office ended with the decree of December 27, 1797 after which the office of mayor was ended. He died at the age of 75.
Peter and Anna Elizabeth (Nancy) Brochard Dhom
The next generation of importance to us is the family of Peter Dhom and his wife, Anna Elizabeth (Nancy) Brochard. They resided in the village of Felsberghof (or Felsberg). First of all we would like to give you a bit of information about the Felsbergerhof. The Hof consists of 15 dwelling houses with adjoining buildings. These houses were owned by farmers, and so there are also barns and sheds. The Hof belongs to the community of Imsweiler and going there on foot, using a foot-path, it will take about fifty minutes. There are two streets but both are round-about ways. As was common at that time and to some extent is still the rule today, the farmers lived together in small villages and went from these villages to the fields to tend and till the ground. The height of Felsberg is 400 meters (1 meter=1.0936 yards). Looking eastward from Felsberg you have a wonderful view of Donnersberg.
The picture below is of the Felsberghof. To the east is the town of Birkenheide.

Felsberghof
Source: Dhom: 1682-1984
Peter
Dhom was born in the year 1767 in the town of Ruppertsecken and married Anna Elizabeth Brochard3
(Broscharddt) Stemmler in June of 1784.
Editor's Note: The name
"Broshart" (also, "Broschart", "Brochard" etc.) was prominent in the history of Sullivan County, PA,
where one branch of the Dohm family eventually settled.
The following is a translation of the parochial register of Imsweiler. Document is on following page.
Birth record for Anna Elizabeth Brochard
"Anna Elizabeth Brochard was christened 25 February 1765. Probably she was born on the same day, because a child was christened on the day of her birth at that time. Her father was Noe Brochard and her mother was Veronica Bertram. In all probability, the christening took place in the house of birth at Felsberg as was usual at that time. Otherwise, the parents had to go a long and troublesome way for more than an hour taking a coach over a bad street. And the parson of Imsweiler liked to go to a christening feast. "
As with the Dhoms, there are also to be found several different ways of spelling the name Brochard. See death record for Michael Valentine Dhom, birth record for Gottlieb Dhom and birth record for Anna Elizabeth Brochard on following page. Anna Elizabeth was the daughter of Noe Brochard from Felsberg and the granddaughter of Michael Broschard. She was also the daughter of Veronica (Bertram) Brochard and granddaughter of the late Bertram from Ebernburg.
Editor's Note: On July 25, 2006, Kathy Bigelow,
who is a scholar of the Broschart/Brochard/Brushart [various other spellings] family, wrote as follows:
According to my findings, Anna would be the granddaughter of Lambert Broschart and his wife, Elisabeth. Could you tell me where you
got Michael as the grandfather, since I don't have this birth name in my records that early (early to mid 1700's)? I have attached the
baptism of Johann Noe Broschart in 1703. It tells that Joes. Noë is the son of Lambert and Elisabeth. I copied this information off
the microfilm for Schallodenbach. I don't have a copy of the Joes. Noë marriage to Maria Veronica Bertram. It might indicate Noë's parents, too.
I do have his death record but parents are not mentioned. Through other baptisms, I have seen both these individuals as godparents. So
there is a connection to the Wickelhof/Schallodenbach Broscharts.

Baptism of Johann Noe Broschart 1703
Courtesy of Kathy Bigelow
Parochial Register No. 1
Birth record for Anna Elizabeth Brochard (Brochardt)
Parochial Register No. 2 of Imsweiler
Translated this document tells us that Anna Elizabeth Brochard was a widow when she married Peter Dhom. Her first husband was Andreas Stemmler and he died in 1782.
Parochial Register No. 2
Translated this says that in June 1784 the honorable Peter Dhom; legitimate son of Johannes Dhom, citizen and chief magistrate (Mayor) of the village of Ruppertsecken and his wife, nee Braun, got married to Anna Elizabeth. She was the widow of Andreas Stemmler and legitimate daughter of Noe Brochard, inspector of agriculture at Felsberg and his wife Veronica.



The House at Felsberg
Source: Dhom: 1682-1984
The House at Felsberg:
This house with stable and barn now belongs to the family Rittmann, succeeded by the families of Joseph Kraus, Peter Dhom, and Noe Brochard. Mrs. Rittmann had the cross painted from time to time, which is attached to the house. In former times you would have been able to read the name "Brochard" which was chiseled in the pedestal. But now days you are not able to to make out the letters. It is supposed that Noe Brochard had the cross erected for some reason. One arm of the cross is missing due to the fact that in former times someone tied his horse to it and the horse ran away and broke the arm. You see in the front of the house, the yard with barn and large flower bed; there, in former days stood the manure pile.

The Schoolhouse at Felsberg
Source: Dhom: 1682-1984
The schoolhouse at Felsberg was established in 1900. For the last few years, the schoolhouse has been unoccupied, due to changes in the educational system. It was called "gnome-school" (only a few pupils). On the ground floor was the classroom and on the first floor was the flat for the teacher. The children of three small villages were taught in this school.
Today the classroom is used by the singing club. In front of the house is a mail box which is cleared once a day. Already in 1740 there was a school in a farm house.

The Milkhouse
Source: Dhom: 1682-1984
This picture shows the small milk house. Here the farmers delivered the milk, which was measured and cooled in refrigerators. The milk was delivered by trucks. The front wall of the small milk house is also used to publish the official publications.
1. Urban, born 16 April 1785
Godparents were Urban and Margaretha Dhom from Ruppertsecken. His first
wife was Gertrud Muller. In the parochial register of Imsweiler is
found this important
registration. "On 17 July
Valentin, legitimate son of Urban
Dhom and his wife Gertrude,
living in Felsberg, was christened.
Godfather was
16 year old Michael Valentin
Dhom, uncle of Valentin".
Urban’s second wife was Maria Caroline Muller. (Probably a sister of his
first wife.) They married 1 April 1828. Caroline is the daughter of Peter
Muller and his wife Charlotte Stadmuller. The daughter of this marriage was
Elizabeth, who married Michael Brochard in 1840. Urban
and Caroline also had a son, Franz Jacob, born 1832 and died 1834. Urban
had a total of six children. Besides Elizabeth and Franz Jacob, he also had
sons: Urban, Peter, and Valentin. The sixth child is unknown to us at this
time. Caroline died 20 April 1853. Urban left Felsbergerhof and emigrated to
the U.S.A.
2. Maria Barbara, born 6 June 1768:
Godmother was Maria Barbara Graff, from Imsweiler.
3. Anna Margaretha, born 5 May 1792:
Godmother was Margaretha Dhomin from Ruppertsecken. Anna Margaretha
died in 1857. She was married to Joseph Kraus.
4. Peter Heinrich, born 10 July 1798:
Godfather was Heinrich Godel citizen from Winnweiler.
5. Michael Valentine, born October 1801:
The following is a direct quote from a letter of Emil Dhom: "The parochial
register No. 2 ends 1798 and the parochial register No. 3 begins 1803. There
are 5 years missing. That is the time Napoleon ruled. It is very questionable if there are
registrations for those years anywhere. If you wish to get the absolute certainty that your
ancestors came from Felsbergerhof ( Felsberg), I am quite sure in telling you so, I
have a clear conscience. There is no doubt!
Kind Regards
Yours, Emil"
6. Katharina, born 1804: died 1858
How does one begin to put into words the life and times of this immigrant
generation? Complete history books have been written about this period of
our history. We shall herein try to describe the life and times of only one
of these brave and courageous families.
First of all, let me say that Michael V. Dhom was born in the village of
Felsberg-Pfalz-Germany in the year 1801. His wife Anna Elizabeth Schultz
was born in the year 1795. At the time of the birth of Gottlieb Joseph she
was employed as a maid servant for one of the neighbors in Felsberg; she was
living in house number 7 and Michael was living in house number 8.
We have always heard the story that Michael and his two brothers, Urban
and Peter Heinrich, migrated to America at or about the same time and after
reaching America the three brothers had a "falling-out" and they never
contacted one another again. From the 1900 census we know that Michael’s
year of immigration was 1838 and from the following document one can easily
see that Urban's immigration paper was processed the 4th day of September in
1837, thus leaving a span of about 4 months from the time Michael says they
immigrated to the U.S.A. (See document for Urban on following page.)
At the time of this writing we have been unable to find any information
about Peter Heinrich. But considering the fact that Anna Margaretha,
Peter's daughter inherited the family farm instead of one of the sons leads
us to believe that the story is true. After the decision to immigrate was
made the families were required to bring enough provisions for 60 days.
They were asked to bring 2 barrels of potatoes, 5 sacks of rice, 2 sacks of
dried vegetables, 6 jars of honey, 2 liters of vinegar and were allowed no
wine or liquor. They also had to clean the deck of the ship as requested by
the captain.
After reaching the New World Michael and his family made their way to
Cincinatti, Ohio where they resided only for a short time. See 1840 census
for Hamilton Co. Ohio. He most probably left his family with friends or
relatives while searching still further west for land that was to his favor.
Michael is also listed in the 1840 census for Jasper Co., Ill., so his stay
in Cincinatti could have lasted only a few months at the most.
At this time we would like to give you an immigrant's eye-view of what
Cincinatti was like at that period of our history. This letter was not
written by Michael. Never-the-less, it still gives a good picture of what
life was like in 1849. This was translated from German to English by
Ingrid Schaffer of Newton.
May 1, 1849
Dear Parents, Brothers and Sisters,
We have arrived in Cincinatti via the Mississippi River. Cincinatti
is a big commerce and industrial city. It has a circumference of 4
leagues. We have six German and two English Catholic churches here. The
foundation of the new church has been started. They take their religion
seriously here. I can not say how many other churches there are here.
Many Mohammedans. There is a tall chain of mountains around our city, the base
of which is moist with loam. It is so wet that it can't be manured. It is
very fruitful but hard work. I have seen no pastures or meadows in America
so far. There are the obvious forests on the shores of the Mississippi.
The livestock must get much of their own food in the summer and winter
and they get ragged and skinny because they have only a little shelter.
America is a free country and a man can do mostly as he pleases. The
law of the fist is in effect here on public streets and they will not be
severely punished.
The most amazing thing is that the Indians that were here before the
discovery of America still live wild. There are also a lot in our midst.
Their clothes consist of woolen covers and several pieces of cloth are tied
to their bodies, whether it covers their nakedness or not bothers them
little. They imagine that a certain piece of jewelry is necessary. They
color half of their faces red and their main business is hunting. They also
carry a gun or bow. On the arrow is a sharpened rock from four to five
inches long, which has the sharpness of a knife. They shoot better with a
bow than a German with his gun. They like to drink whiskey.
America has many bad inhabitants like I've already mentioned, because I
can say with certainty that we have three to four fights every day and night.
Never-the-less, there are many good people here too.
The factory where I worked burned down and 300 people were out of work.
Since the beginning of February, I've been working again and I earn $18 a
month with food and laundry free. The food is excellent. Meat three times
a day! Dear family, since I am 4,000 leagues southwest of you we can not
help each other except sometimes in a letter. Stay in God's hand. Don't
forget to write now and afterwards.
Your true son,
Theodore
_________________________________________-
1840 - Population Schedule of the sixth census of the United States -
November 1, 1840
National Archives Microcopy No. 704 - Roll 61 - Illinois
Volume 4233-419 - Jasper County, Illinois
Head of Family--------------------------------Dhom, Michael V.
Males---------------------------------------------0 and under 5-------1
20 and under 30----1
Females-----------------------------------------15 and under 20----1
40 and under 50----1
Total------------------------------------------------------------------------4
No. of persons employed in agriculture---------------------------1
Truly, these were brave people in a strange land. Nevertheless, let us continue with the story of Michael. On May 9, 1839 Michael walked into the district land office in Palestine, Illinois and purchased 240 acres of land in the then Wade Township (now Willow Hill Township). It took almost two years for this land transaction to be processed as can be seen by the following land records from the Bureau of Land Management in Alexandria, Virginia.
Presumably, after the purchase of his land, Michael stayed in Jasper County long enough to erect a temporary dwelling and then returned to the east to bring his wife Anna and son Gottlieb back to Jasper County to establish his home.
Prior to the erection of the simple log church in 1848 known to all of us as St. Peters; the early settlers had to travel the long distance to Vincennes, Indiana to attend Mass.
The following piece of interesting information is taken from the Jasper County Courthouse. There were no fences on the prairie in 1839, all the livestock ran together and so had to be marked in some way in order to be identified by the proper owner. These identifying marks were usually made in the ears of the animal and had to be registered with the county clerk. This entry was recorded: “Michael Dhom stock mark crop, split and underbit in left ear. Recorded this 13th day of July A. D. 1839. H. Wade C. C.”
The first Mrs. Dhom did not live long after reaching Jasper County. Her exact death date isn't known, but we do know that she died prior to the fall of 1848.
The following information (was) told us by Mrs. Harry Dhom and Mrs. Tom Bergbower.
When Anna Elizabeth Dhom died the water was too high to take hor body to the cemetery for burial. Michael took a molasses pan, which was a tin or metal box about the size of a wagon bed in which people used to make molasses, and rowed to the house on the other side of the Crooked Creek and petitioned the man who lived on the opposite hill to build a wooden coffin for his wife's burial. The man agreed; Michael took the coffin, put it in the molasses pan and rowed back across the creek and buried his wife on the hill behind their home. The letters A.E.D/ are all that remain on a small stone to mark the burial place of Anna Elizabeth Dohm.
After the burial of Anna Elizabeth the surrounding parcel of land was still used for pasture for the cattle. Each morning and evening as the cows made their way to and from the barn, they had to cross the grave where Anna Elizabeth was buried. Up until a few years ago you could still see two distinct paths that the cattle took; one on the east side and one on the west side of the grave. Never has it been known that the cattle ever walked on or across this grave.
After the death of Anna Elizabeth, Michael married a second time. He married Margaretha (Rothin) Brier, who was the widow of Gerhard Brier who resided in Ohio.
The following entry is taken from Jasper County Marriage Records: "I Hiram Wade, clerk of the county court of Jasper County, Illinois, hereby certify that marriage license was granted to Michael V. Dhom and Margaret Brier on the 8th day of September in 1848. State Of Illinois, Effingham Co."
They were married in Teutoplis, Illinois by Father Joseph Kunster, Catholic priest, on September 10, 1848. Michael and his second wife, Margaretha, had no children.Michael had only one child; that by his first wife Anna Elizabeth.His name was Gottlieb Joseph Dhom.
From all indications, Michael lived a quiet and productive life up until his death which occurred on the 13th day of April in 1876. The following 3 records are proofs of death for Michael V. Dhom. The first one (is) from the Jasper County Circuit Clerks Office. The next two are from St. Thomas Catholic Church in Newton, Illinois. Michael is buried in the Old St. Peters Cemetery, but there is no stone to mark his grave.
St. Thomas Catholic Death Record for Michael V. Dohm
Translation:
Gottlieb Joseph and Maria Christina (Kinsel)
Dhom
The following two records are birth records for Gottlieb Joseph Dhom. The first, from the church of the Felsbergerhof. The second, from the civil register’s office in Rockenhausen, Germany.
Translation:
In the year of our Lord, 1835 on September 8th, was born in the villa Felsberg and christened on September 13th the son of (Note: lines too bad to read) farmer in villa Felsberg and appropriate announced and Anna Elizabeth Schultz by birth from Felsberg, who has given him the name of Gottlieb Joseph. Godfather was Joseph Kraus living in Felsberg. He was christened by Voelher, parson.
Being dissatisfied with the legibility of this record, we pursued the matter further and received the second birth record.
The following is a translation from old German script, then to present German, and finally to English. These translations done by Emil Dhom and Ingrid Schaffer.
Nr 20 Geburts-Akt des Gottlieb Dhom
Inm Jahr *ein tausend acht hundert funf and dreissig, den neunten des Monats September um ein Uhr des Nachmittags, erschienen vor uns Adam Limbacher Burgermeister und Beamter des Civilstandes der Gemeinde Imsweiler Kantons Winnweiler Rezirks Kaiserslautern, im Rheinkreise des Konigreichs Payern, (a. ichael Valentin Dhom Ackerer alt dreissig drey Jahr wohnhaft aue dem Felsbergerhof, Germeinde Imsweiler welcher uns erklarte, dass (b. Anna Elisabetha Schultz ohne Gewerbe, ledigen Standes, alt vierzig Jahr wohnhaft auf dem Felsbergerhof, gestern ais am (**8.9.I835) achten September dieses gegen zwey Uhr des Morgens in dem Hause Nummer sieben auf genanntem Felsbergerhof ein Kind mannlichen Geschlechts> geboren habe, und welcher den Vornamen (c. Gottlieb gebe, dessen Vater zu seyn er hiermit anerkennt. Gegenwartige Erklarung geschah in Gegenwart folgender Zeugen I. des Michael Wolff, Akerer alt vierzig sieben Jahre und 2. des Johannes Lippert, Feld-schutz, alt dreissig zwey, beide in der Gemeinde Imsweiler wohnhaft und haben den Deklarant und die Zeugen gegenwartigen Geburts-Akt, nach geschhener Vorlesung mit und unterzeichnet.
Michael Valentin Dhom
I. Wolff 2. Lippert Limbacher
*---1835
(a----33 age /1802
(b----40 "/1795
(c----8.9.1835
Number 20 English Translation:
In the year 1835, the 9th day in the month of September at 1 o'clock in the afternoon, by Adam Limbacher, burgermeister (mayor) and county records keeper for the Gemeinde community of Imsweiler. Michael Valentin Dohm, 33 years old, living at Felsbergerhof gave testimony that Anna Elizabeth Schultz, 40 years old; an unmarried lady without a trade or occupation and living in house No. 7 at Felsbergerhof did yesterday, September 8, 1835 at about 2 o'clock in the morning give birth to a son. Michael further states and recognizes this child as his own. This statement sworn before witnesses:
Michael Wolff age 47 years
Johannes Lippert age 32 years Both witnesses living in Imsweiler.After growing to manhood and establishing his home, Gottlieb chose for his bride the 18 year old Maria Christina Kinsel. She was born 29 March 1841 in Jasper County and is the daughter of Charles and Maria Christina (Kroft or Kraft) Kinsel, from the Alsace Lorraine area of Germany (now France). They were married the 30th day of June in 1859 in the log church known as St.Peter’s.
This union was blessed with twelve children; they are as follows:
Christian Name Date of Birth
1. Susann Christine 24 April 1860
2. Theodore Joseph 21 April 1862
3. Mary Clotilda 6 October 1863
4. Veronica Elizabeth 5 April 1865
5. Clement Valentine 5 December 1867
6. Christine Elizabeth 1 November 1869
7. August Samuel 15 January 1872
8. Frank Eugene 31 January 1874
9. Henry Cornelius 9 August 1876
10. Joseph 7 January 1880
Editor's Note: Died in childhood per Group Sheet shown below.
11. Charles Vincent 1 March 1882
12. Philomenia Cecelia 22 July 1883
The above information taken from St. Thomas Catholic Church and Jasper County Courthouse Birth Records.
One of Gottlieb's children, either Veronica Elizabeth or Christine Elizabeth, is buried on the hill of the original Dhom homestesd. The reason there is no marker for her grave we were told, is because she was buried on top of the grave of Anna Elizabeth Dhom, her grandmother. This was a custom in Germany, and to this day it is not uncommon in Germany for this to happen. The reason being that Germany is a small country and there are so many people. Graves that are not kept up and cared for are reused.
Gottlieb Joseph and Maria lived in the St. Peter vicinity nearly all oftheir lives, except for a time during which in 1870 they lived in the town of Newton; Gottlieb listed his occupation as a wagon maker in the 1870 census.
Gottlieb and Maria were upstanding and active members of the community all of their lives as can be seen by the following excerpts from old copies of the Newton Press-Mentor.
Volume
XIII No.l 28 September 25, 1878
"Joseph Dhom visited Saylor Springs a few days and while there his team ran away, breaking up his spring wagon."
Volume XIII No. 37 Wednesday, November 27, 1878
"Mr. G. J. Dhom has been employed to teach a German school this winter."
Volume XIII No. 48 Wednesday,
February 19, 1879
"Professor Joseph Dhom is teaching a splended German school again this winter."
Volume
XIV No. 16 Wednesday, July 9, 1879
The 4th at St. Peter
"The celebration at St. Peter on the 4th of July for the benefit of the Catholic Church at that place was a grand success, socially and financially. The people here have spared no pains to make this a pleasant and agreeable and profitable celebration. The grove was cleaned up nicely and a large stand was erected for the use of the speakers. Plenty of seats had also been placed in the cool shade. A very tall slim pole proudly held up the emblem of freedom - our flag; and a small cannon under the management of an experienced gunner proclaimed liberty and freedom to everyone and a cordial welcome to their celebration.
The St. Peter string band enlivened the occasion with some of their sweetest and choicest music. The assembly was called to order by Henry Schackmann. The Declaration of Independence was read by Gilbert Reisner, after which Mr. Reisner a nd Eugene Hartrich delivered a short address. In the meanwhile the ladies had prepared a sumptuous dinner. Mrs. John Schackmann, Mrs. Michl and Mrs. Peter and Henry Moschenross deserve much of the credit for the epicurean feast. During the day chances were sold on some of the fine and useful articles. Miss Susan Schackmann donated a fine coverlet to the church which was awarded to Eugene Hartrich, who generously donated it back to the church again. Phillip Schackmann gave a fine oil lamp; Julia Michl, a centennial dish; and many others whose names are forgotten donated largely. John Schroder drew a fine oil painting of the cross, and John Genter and Ed Wise, two clever young bachelors, drew a baby dress apiece. The people here made their celebration a success as they do everything else. The proceeds amounting to $19! The committee, John Schackmann, Joseph Dhom, and Peter Mochenross deserve the credit for the able manner in which they conducted the celebration. And right here permit yourreporter to thank them for the complimentary ticket. We cannot ever remember attending a more quiet and nicer celebration and all persons attending seemed to enjoy the occasion splendedly."
From the 1900 census we learn, among other things, that Gottlieb's yearof immigration to the U. S. was 1838 and that he never naturalized. We also know that this couple had twelve children. In 1909, they celebrated their 50th wedding anniversary. The following article is taken from the Newton Press, Volume 48, No. 2
Friday, July 2, 1909
Celebrate Golden Wedding
Pioneer Couple Celebrate 50th Marriage Anniversary
Mr. and Mrs. Gottlieb Joseph Dohm celebrated their golden wedding Wednesday. At 6:15, Rev. Fr. John Molitor held Mass at the St. Thomas Catholic Church where the aged couple renewed their vows and received the holy blessings of the religion they profess.
June 30, 1859 in a little log building erected as a house of worship near St. Peter northeast of Newton, Gottlieb Joseph Dhom and Miss Christina Kinselwere married by Rev. Parker Sandrock, parish priest performing the ceremony. Since then they have lived in the Newton vicinity raising a family and assisting in improving the county.
To them nine living children were born: Theodore, Frank, Henry, Charles and Miss Philomenia all of Newton. Mrs. Thomas (Susan) Huber of St. Marie, Mrs. George (Clotilda) Fear of Willow Hill, Clem of Hillsboro and August of Beloit, Wisconsin. The foregoing in addition to 27 grandchildren, 1 great grandchild and many friends and other relatives assisted in the celebration and dinner at the residence of Boos Black of Newton.
Mrs. and Mrs Dhom are excellent people, quiet and industrious and neighborly. They bear the reputation of being generous and courageous people and are honored citizens of the community.
Mrs. Dhom is a sister of Louis Kinsel, Joseph J. Kinsel, Mrs. Nicholas Michl, and the late Mrs. John (Rosalie) Schackmann. Mr. Kinsel and wife were joined in marriage June 1, 1852, Mr. and Mrs. Michl in 1858, and Mr. and Mrs. Louis Kinsel in 1860."
The following picture was given us by Mrs. Vincent (Hilda) Dhom. It is the family picture of the Gottlieb Joseph Dhom family. They are:
Front Row, left to right: Theodore, Philomenia, Gottlieb Joseph, Maria Christina, Clotilda, Susan
Second Row, left to right:Clem, Gus, Henry, Charles, Frank

The Gottlieb J. Dhom Family
Source: Dhom: 1682-1984
Mrs. Gottlieb Joseph Dhom departed this life on the 4th day of October in 1911 as can be seen by the following article taken from the Newton Press, Volume 50, No. 53, October 6, 1911:
Marie Christina Dhom was born in Jasper County , March 29, 1841, married to G. J. Dohm, June 30, 1859 and died at the family home in Newton, Wednesday, October 4th after a lengthy illness from heart trouble, leaving a husband and children: Theodore; Charles; Delia,of Willow Hill; Henry, of Falmouth; Clem, of Taylorville; Gus, of Beloit, Wisconsin; Mrs. Susan Huber, (of) St. Marie, Frank, of Mattoon; and Miss Minnie, of Newton In addition there are grandchildren and many relatives..Funeral services were conducted Oct 5, at St. Thomas Catholic Church by Rev. Fr. John Molitor. Interment in the parish cemetery, Mt. Calvary.
Certificate and Record of Death of Mary Christian Dhom

Source: Dhom: 1682-1984
Sometime after the death of his wife, Gottlieb Joseph came to make his
home with his eldest son, Theodore. My father-in-law Alex told me that one
of his hobbies was raising bees. He also worked on inventing perpetual
motion machines. Tess Dhom has told us that she remembers his daily walks
to the old St. Peter Cemetery to help care for the grounds and tend the
graves there.
The following picture of Gottlieb Joseph was given us by Mrs. Ed (Judy) Dhom.

Gottlieb J. Dhom
Source: Dhom: 1682-1984
Gottlieb Joseph Dhom lived all of his long and productive life in Jasper
County being almost 92 years old at the time of his death.
The following article (was) taken from the Newton Press. Volume 66, No. 30,
Friday, August 5, 1927:
The Grim Reaper
Joseph G. Dhom
Joseph G. Dhom, one of the oldest pioneer settlers of Jasper County, died
at the home of his son, Theodore, four miles east of Newton, Tuesday evening,
August the 2nd at the age of 91 years 10 months and 24 days. He was born in
Germany, September 8, 1835 and came with his parents to this county when
about 5 years of age, settling in the St. Peter vicinity, where he has
resided the greater part of his long life. He was married to Mary C. Kinsel,
on June 30, 1859, at St. Peter’s by Rev. Fr. John Sandrock.
On June 30, 1909, this couple celebrated their 50th wedding anniversary
in this city. Mrs. Dhom died October 4th, 1911, after more than 52 years of
happy wedded life. To this union 9 children were born, all of whom are
living and together. There are 50 grandchildren and 50 great grandchildren
left to mourn his demise. The surviving children are: Mrs. Thomas (Susan) Huber of St. Marie; Theodore, Henry, and Clotilda of Newton; Clem of New York; Gus of Beloit,
Wisconsin; Frank of Chicago; Miss Minnie of Granite City; and Charles of Newton.
In addition there are grandchildren and many relatives. Funeral services
conducted at St. Thomas Catholic Church at 8 o'clock, Thursday morning by
Rev. John Lupton, with interment in Mt. Calvary Cemetery.
As you read these old newspaper articles you will notice several discrepancies. They have been written here exactly as they appeared. In the family group sheets we have tried to make all corrections.

Funeral Card: Gottlieb Joseph Dhom 1835-1927
Source: Dhom: 1682-1984

Family Group for Thomas Huber
Source: Dhom: 1682-1984
Child number 1:
The following article is taken from the Newton Press-Mentor:
Mrs. Thomas Huber's Funeral held Monday morning at Assumption Church, St.
Marie, and burial was in the parish cemetery. Rev. Fr. Francis C.
Schlepphorst officiated.
Mrs. Huber passed away Friday morning at her home east of St. Marie
after an extended illness. She was born in that vicinity April 24, 1860, a
daughter of Mr. and Mrs. Joseph Dhom, and had always resided there.
She leaves five sons and two daughters, Frank Huber of St. Marie; Ted
Huber of Willow Hill; Mrs. Lena Martin of Indianapolis; Henry and Leo Huber
of Detroit, Michigan; Fred Huber of San Francisco, California; and Miss
Christine Huber of Wilmette.
She is also survived by three brothers and a sister: Gus Dhom of Beloit,
Wisconsin; Henry and Charles Dhom and Mrs. George Fear of Newton; and many
other relatives and friends.

Susan Huber (left) and unknown parties*
Source: Dhom: 1682-1984
* Editor's Note In April 2005, Amy Sue Groessl of Chicago, IL contributed the following identifications for the "unknowns" shown in this picture. As Amy puts it: I'm listed in your dhom history under the Frank J Huber family (he was my paternal grandmother's father). There is a picture of Susan Huber with "unknown parties". I know them: The adult in the center is Lenora (Huber) Spannagel, called "Aunt Sis"; the child is her daughter, Mary Ellen Wagner; and the adult on the right is Anna (Burgund) Huber, my great-grandmother. We used to go to St. Marie every year when I was young. Very fond memories. As you see, Amy is a listed descendant below.
Susan C. Dhom (See Family Group for Thomas Huber)
8 Children:
1. Frank J.
2. Theodore J.
3. Veronica M.
4. Frederick W.
5. Magdalena C.
6. Christine
7. Henry C.
8. Leo
1.Frank J. Huber (See Huber Group Sheet) m. Anna Burgund b. 1883
d. 5-22-1946
A. Lenora Huber b. 11 Mar 1910 m. Louis Spannagel b. 24 Aug 1895
a. Mary Ellen Spannagel b. 6 Sept 1930 m. Eugene Wagner b. 1923
1. Janet Wagner b. 12 Aug 1949 m. George Waggle b. 1946
1a. Dennis Waggle b. 17 Jul 1971
2b. Jeff Waggle b. 21 Feb 1977
3c. Sara Waggle b. 18 Feb 1979
2. Robert Wagner b. 25 Feb 1952 m. Jeanie Smith b. 1954
2a. Jeremy Wagner b. 17 Feb 1977
2b. Jared Lee Wagner b. 15 May 1982
3. Betty Wagner b. 28 Feb 1952 m. Steve Rudolphi b. 1951
3a. Jessica Rudolphi b. 4 Jul 1977
3b. Kevin Rudolphi b. b. 21 Oct 1982
4. Susan Wagner b. 28 Apr 1954 m. William Dowland b. 1951
4a. Stacy Dowland b. 12 Nov 1975
4b. Erin Dowland b.17 Nov 1978
4c. Justin James Dowland b. 1 Jul 1982
5. James Wagner b. 22 May 1953 m. Kathy Carr b. 20 Jan 1955
5a. Karrie Wagner b. 2 Nov 1977
5b. Jaon Wagner b. 22 Oct 1980
5c. Kylee Jean Wagner b. 6 Feb 1982
6. Joan Wagner b. 8 Sep 1955 m. Lindell Galloway b. 1954
6a. Matthew Galloway b. 31 Jan 1979
6b. Emily Marie Galloway b. 9 Jul 1981
7. Donald Wagner b. 23 Oct 1957 m. Bonnie Alexander b. 1960
7a. Bridget Diane Wagner b. 29 Aug 1983
8. Tom Wagner b. 21 Sep 1960 m. Colleen Pitcher b. 1962
8a. Beth Ann Wagner b. 31 Aug 1983
8b. Richard Spannagel b. 18 Jun 1947
8c. Francis Spannagel b. 10 May 1949 m. Mary Kay Lincoln b.1949
1. Mark Spannagel b. 7 Jun 1977
2. Mary Beth Spannagel b. 25 Nov. 1979
B. George Huber b. 30 Jun 1912 d. Mar. 7, 1938 m. Camilla Rohr
a. Georgianna Huber b. 4 Sept 1938
C. Hilda Huber b. 21 Dec 1915 m.Carl Branstrom b. 1913
a. Ronald Branstrom b. 13 Jul 1941 m. Mariam Davis b. 1942
1. Kristin Ann Branstrom b. 26 Jan 1966
2. Molly Sue Branstrom b 30 Mar 1968
3. Jay Branstrom b. 5 Aug 1971
b. Margaret Branstrom b. 2 May 1945 m. Hugh Miller b. 1941
1. Wendy Ann Miller b. 15 Oct 1967
2. Holly Sue Miller b. 29 Nov 1969
c. Barry Branstrom b.5 Nov 1945 m. Carol Christenson b. 1948
1. Kara Branstrom (adopted)
d. Donna Branstrom b. 13 Dec 1956
D. Berniece Huber b. 24 Jun 1918 m. Leslie Groessl b. 1917
a. Jack Groessl b. 17 Nov 1942 m. Patty Riegler b. 1942
1. Amy Sue Groessl b. 16 Feb 1969
2. Todd Allen Groessl b. 23 Dec 1971
E. Lawrence Huber b. 5 Sept 1920 m. Dorothy Hyde b. 1 Dec 1929
a. Richard Huber b. 10 Jan 1954 m. Theresa Faller b. 1956
(Editor's Note: Reads "divorced" in handwriting on the manuscript, then has illegible handwritten text.
1. Matthew Huber b. 10 Sept 1974
F. Ralph Huber b. 9 March 1923 m. 1. Eileen McCormick
2. Alberta Dillinger
a. Tom Huber
b. Robert Huber
c. Richard Huber
G. Francis Huber b. 9 Dec 1925 d. Dec 3, 1978 m. Mary Jo Laws
a. Lu Anne Huber m. Don Ryan
b. George Huber
c. Elizabeth Huber
d. Susan Huber
e. Mary Huber
2. Theodore J. Huber (See Huber Family Group Sheet)
3. Veronica Mary Huber (See Huber Family Group Sheet) m. John Long
b. 21 Sept 1887 d. 18 June 1978
A. Esther Suzanne Long b. 24 May 1912 d. 24 Dec 1981
m. Ed Stumborg b. 10 Oct 1909
a. James Edwin Stumborg b. 8 Apr 1932 m. Patricia Gilsinger
1. Carol Ann Stumborg
2. Mark Anthony Stomberg
b. Donald William Stumborg b. 14 June 1934 m. Marge
1. Donald William Stumborg, Jr.
2. Audra Marie Stumborg
c. John Bernard Stumborg b. 30 Nov 1937
d. Joyce Veronica Stumborg b. 22 Nov 1939 M. Ron Purdy
e. Nelda Kathryn Stumborg b. 26 Jan 1948 m. Don Boggs
1. Kimberly Kathryn Boggs
2. Michelle Lynn Boggs
f. Steve Paul Stumborg b. 6 Dec 1952 m. Carol Heidbreder
1. Stephanie Dawn Stumborg
2. Scott Allan Stumborg
3. Sarah Esther Stumborg
B. Harry Thomas Long m. Hilda
C. Jermaine Kathryn Long m. Al Holman
D. George Richard Long m. Helen Ferguson
E. Dale Joseph Long b. 8 Sept 1919 m. Frances Fillinger b. 13 Sept
1927
a. Veronica Catherine Long b. 23 Feb 1952 m. Jack Deitz
b. 21 Sept 1950
1. Amy Marie Deitz b. 3 Apr 1972
2. Matthew Wade Deitz b. 28 Dec 1976
b. Rebecca Lynn Long b. 15 Sept 1953 m. (1) Phillip Tucker
m. (2) Robert Green
F. Forest Francis Long b. 26 April 1922 m. Rosemary Elanor
Greenwood
b. 24 Feb 1928
a. Carolyn Sue Long b. 27 Jul 1944 m. Richard Alan Haught
b. 13 Jan 1942
1. Donna Jean Haught b. 9 May 1964 m. Kevin Blevins
b. 12 Sept 1962
2. Sharon Kay Haught b. 21 Sept 1969
3. Richard Alan Haught, Jr. b. 10 Aug 1971
4. Brian Dean Haught b. 13 Feb 1973
b. Roy Gene Long b. 25 Dec 1947 m. Linda Kircher
1. Jason Andrew Long b. 8 Feb 1972
2. Jody Michelle Long b. 29 Oct 1974
3. Julie Denise Long b. 20 Sept 1982
G. John Anthony Long b. 16 Jan 1929 m. Norma Wakefield
H. James Frederick Long b. 1931 d. 1965
4. Frederick W. Huber [See Group Sheet]
5. Magdalena C. Huber [See Group Sheet] m. Frank Totten
6. Christine Huber ( See Group Sheet) m. Herbert Martin
7. Henry C. Huber [See Group Sheet]
8. Leo Huber [See Group Sheet]

Family Group for Theodore Joseph Dhom
First Page
Source: Dhom: 1682-1984

Family Group for Theodore Joseph Dhom
Second Page
Source: Dhom: 1682-1984
Child Number 2: Theodore Joseph Dhom
The following article was taken from the Newton Press-Mentor:
Theodore Dhom Passes Away Thursday
Theodore J. Dhom passed away at the family home early Thursday morning at
the age of 78 years and 12 days. He had been a life long resident of Jasper
County. He was united in marriage on October 30, 1888 to Miss Anna Elizabeth Miller
and to this union eleven children were born. Two children preceded him in
death; they were John and Anna Elizabeth. He is survived by his wife, Anna,
son Joseph of Newton, Miss Margaret of Springfield, Mrs. Frank (Josephine)
Tilly of Springfield, Theodore F. Dhom of Robinson, Leo, Alexander, and John,
all of Newton. He also leaves two sisters, Mrs. Susan Huber of St. Marie
and Mrs. Clotilda Fear of Newton, three brothers, Henry and Charles of Newton
and Gus of Beloit, Wisconsin.
Requiem Mass will be said by Rev. Daniel Daily at 9 A. M., Saturday at
St. Thomas Catholic Church, burial in Mt. Calvary Cemetery.

The Theodore Dhom Family
Source: Dhom: 1682-1984
THEODORE JOSEPH DHOM (See His Family Group Sheet)
11 Children: 1. John Joseph 2. John 3. Mary Margaret
4. Mary Magdalena 5. Anna Elizabeth
6. Philomenia Katherine 7. Josephine Cecelia
8. Theodore Francis 9. Leo Thomas
10. Alexander Charles 11. John Raphael
1. John Joseph Dhom (See Group Sheet) m. Anna Mary Hainz
b. 30 Sept 1888, d. 2 May 1981
A.. Mary Anna Dhom, b. 13 Jul 1914, m. Samuel Roaman Ciesinski
b. 5 Aug 1912 d. 1977
a. Roger Joseph Ciesinski, b. 23 May 1939 m. Carol Jane Harding
b. 15 Jan 1944
1. David Alan Ciesinski, b. 9 Apr 1966
2. Amy Diane Ciesinski, b. 20 Dec 1969
3. Jennifer Ann Ciesinski, b. 29 Jan 1973
b. Philip Jerome Ciesinski , b. 13 May m. Barbara Adele Stephenson
b. 17 Sept 1946
1. Samuel Jason Ciesinski, b. 16 Jul 1978
2. Damen Nicholas Ciesinski, b. 5 Aug 1981
B. Angela Catherine Dhom, b. 14 Nov 1916, m. Reuben Anthony Jansen
b. 13 Oct 1917 d. 18 Aug 1967
a. Doris Anne Jansen b. 8 Aug 1941 m. Eugene James McDevitt
b. 13 Apr 1936
1. Angela Marie McDevitt b. 14 Nov 1963
2. Michael Eugene McDevitt b. 2 Mar 1965
3. David Anthony McDevitt b. 18 Nov 1966
4. Steven James McDevitt b. 5 Nov 1968
5. Lawrence McDevitt b. 31 Oct 1969
6. Jeffrey Scott McDevitt b. 13 Jul 1979
7. Kathleen Michelle McDevitt b. 24 Jun 1984
b. Theodore Joseph Jansen, b. 19 Aug 1942 m. Connie Lee Comstock
b. 13 Nov 1952
1. Carmen Nichole Jansen b. 22 Jul 1976
2. Justin Joseph Jansen b. 13 Feb 1979
c. Samuel Bernard Jansen, b. 2 Oct 1943 m. Mary Suzanne Rohr
b. 16 Mar 1945
1. Kathleen Marie Jansen b. 11 Jul 1965
2. Cheryl Ann Jansen b. 16 Aug 1966
3. Gary Vincent Jansen b. 25 Oct 1967
4. Timothy Reuben Jansen b. 20 Apr 1969
5. Vickie Angela Jansen b. 9 Apr 1972
6. Phillip Samuel Jansen b. 24 Sept 1975
7. Terry Joseph Jansen b. 18 Jun 1980
d. Patrick Leo Jansen, b. 9 Sept 1944 m. Janet Sue Probst
b. 25 Sept 1948
1. Brian Patrick Jansen b. 21 May 1969
2. Brenda Sue Jansen b. 28 Jan 1971
3. Lynn Marie Jansen b. 24 Nov 1975
4. Kevin Michael Jansen b. 24 Apr 1979
5. Cindy Ann Jansen b. 21 Sept 1981
e. Kathryn Louise Jansen, b. 10 Oct d. 28 Mar 1946
f. Gail Marie Jansen, b. 12 Dec 1946 m. Thomas Roman Mette
b. 16 Dec 1945
1. Douglas Thomas Mette b. 7 May 1971
2. Randy Joseph Mette b. 5 Jun 1972
3. Terry Anthony Mette b. 25 Apr 1974
4. Mark Alan Mette b. 11 Nov 1978
5. Bradley John Mette b. 10 Nov 1981
g. Frederick Anthony Jansen, b. 20 May 1949 m. Linda Marie Niemerg
b. 28 Oct 1953
1. Andrea Marie Jansen b. 31 May 1982
h. Frances Angela Jansen, b. 20 May 1949 m. Donald Edward Zumbahlen
b. 5 Jan 1948
1. Paula Ann Zumbahlen b. 15 May 1971
2. Cindy Marie Zumbahlen b. 4 Feb 1973
3. Sharon Renee Zumbahlen b. 25 Mar 1975
4. Andrew Donald Zumbahlen b. 11 Dec 1977
5. Debbie Frances Zumbahlen b. 11 Jun 1984
i. Anthony Eugene Jansen, b. 22 May 1954 d. 26 Jun 1984
m. Jean Marie Niemerg b. 3 Jul 1956
j. Debra Josephine Jansen, b. 29 Jul 1955 m. Richard Anthony Runde
b. 4 Feb 1952
1. Julie Angela Runde b. 3 Oct 1982
2. Dennis Richard Runde b. 14 Apr 1984
C. Clara Crezentia Dhom b. 23 Aug 1919 m. Eugene Peter Wiercioch
b. 4 Jan 1922
a. Bonnie Jean Wiercioch b. 15 Feb m. Kenneth Norman Heim
b. 1 Jul 1948
1. Jennifer Anne Heim b. 24 Jul 1983
b. Charles Joseph Wiercioch b. 6 Feb 1950 m. Karen Beata Kehoe
b. 3 Mar 1945
D. Catherine Emma Dhom b. 12 May 1923 m. Frederick Willard Price
b. 5 May 1920
a. Kathleen Marie Price b.25 Feb 1946 m. William DeRouchey
b. 29 Jul 1945
1. William Thomas DeRouchey b. 19 Aug 1965
2. Jeffery Price DeRouchey b. 28 Jan 1968
3. Rebecca Lynn DeRouchey b. 19 Jan 1971
b. Jeanne Louise Price b. 31 Aug 1947 m. Gary Gordon Lamb
b. 25 Mar 1947
1. Laura Jean Lamb b. 7 Mar 1966
2. Gary Gordon Lamb, Jr. b. 13 Jan 1968
c. Frederick Willard Price, Jr. b. 3 Dec 1951 m. Mary Lynn Gard
b. 23 Jun 1956
1. Frederick Willard Price III b. 26 Oct 1982
E. Agnes Theresa Dhom b. 15 Jun 1926 d. 6 May 1942
2. John Dhom [See Group Sheet]
3. Mary Margaret Dhom [See Group Sheet]
4. Mary Magdalene Dhom (See Group Sheet) m. Frank Bergbower
A. Thomas Bergbower b. 13 Oct 1914 m. Mary Catherine Dhom
b. 22 Jul 1917
a. Carol Marie Bergbower b. 23 Jul 1939 m. Clinton Purcell
b. 9 Aug 1937
1. Robert Anthony Purcell b. 15 Jan 1959 m. Janet Cohorst
2. Jane Ann Purcell b. 19 Jul 1960
3. Karen Elaine Purcell b. 9 Dec 1964
b. Joan Kathaleen Bergbower b. 7 Aug 1941 m. Ronald Coleman
b. 23 May 1937
1. Johanna Coleman b. 23 Dec 1963
2. Todd Coleman b. 31 May 1965
c. Gerald Thomas Bergbower b. 26 Aug 1943 m. Verna Fisher
b. 28 Mar 1944
1. Theresa Bergbower b. 29 Nov 1966
2. Sandra Bergbower b. 21 Aug 1968
3. Kathy Bergbower b. 9 Apr 1970
4. Sharon Bergbower b. 1 Jun 1975
5. Greg Bergbower b. 7 May 1978
d. Robert Francis Bergbower b. 16 Jun 1945
e. Paul Steven Bergbower b. Mar 1950 m. Suzette Wilson
b. 10 Sept 1952
1. Steven Christopher Bergbower b. 7 Sept 1983
f. James Anthony Bergbower b. 22 Mar 1951 m. Theresa Nosbisch
b. 19 Apr 1958
g. Mary Sue Bergbower b. 30 Sept 1954 m. John Blalock
b. 15 Aug 1943
1. Shane Blalock b. 15 Aug 1975
2. Tom Blalock b. 10 Apr 1977
B. Monica Bergbower b. 10 Nov 1916 m. Marion Michl
b. 23 May 1916
a. Patsy Michl b. 3 Aug 1941 m. Robert Swinford
b. 22 Nov 1938
1. Mark Swinford b. 18 Oct 1961 m. Laurie Winterroth
b. 26 Apr 1958
2. Alan Swinford b. 26 Sep 1964
3. Christine Swinford b. 17 Mar 1967
b. Marilyn Michl b. 28 Jul 1944 m. Gordon Hammond
b. 15 Nov 1941
1. Jack Hammond b. 15 Jan 1972
2. Jill Hammond b. 24 Nov 1976
3. LeAnn Hammond b. 19 Aug 1978
C. Roy Bergbower b. 26 Jul 1921 m. Evelyn Reed
b. 16 Jun 1928
a. Frank Lee Bergbower b. 25 Jan 1953 m. Jackie Lynn Clagg
b. 16 Jun 1958
1. Michael Bergbower b. 1976
2. Katie Bergbower b. 1980
b. Jeffery Ray Bergbower b. 26 Jan 1967
c. Susan Marie Bergbower b. 6 Nov 1971
D. Raymond Theodore Bergbower b. 11 Feb 1924 d. 12 Jun 1980
m. Lena Marjorie Beasler b. 30 Sep 1929
a. Norman Ray Bergbower b. 17 Dec 1949
m. Sharon Ann Shamhart, b. 1 Dec 1952
1. Anthony Ray Bergbower b. 15 Apr 1973
2. Shelia Ann Bergbower b. 8 May 1976
3. Todd Ray Bergbower b. 10 Oct 1982
b. Jane Francis Bergbower b. 6 Nov 1951 d. 13 Jun 1981
c. Ann Marie Bergbower b. 30 Dec 1952 m. Steven Stiles
b. 10 Sep 1951
1. Chad Steven Stiles b. 3 Oct 1974
2. Tara LeAnn Stiles b. 6 May 1978
d. Phillip Joseph Bergbower b. 7 May 1954 m. Mary Ann Kapper
b. 3 Jan 1956
1. Tina Jo Bergbower b. 11 Nov 1980
2. Lee Joseph Bergbower b. Oct 1982
e. Glen Robert Bergbower b. 14 Apr 1955 m. Durinda Ann Blank
b. 19 Jun 1956
1. Clinton Robert Bergbower b. 20 Aug 1976
2. Matthew Lee Bergbower b. 26 Jan 1981
f. David Jerome Bergbower b. 15 Jan 1962
E. James R. Bergower b. 31 Mar 1926 m. Mercy K. Gomez
b. 13 Oct 1925
a. Rinda Ann Bergbower b. 8 Jan 1962
b. James R. Bergbower (Died in infancy 1964)
Adopted children of James:
c. Charles H. Bergbower b. 8 Feb 1947 m. Joyce
b. Jul 1948
1. Chuckie Bergbower b. Sep 1976
d. Sheila Ilene Begbower b. 22 Dec 1948
m. Ronald Di Saia b. 1951
1. Mark Andrew Di Saia b. 27 Sep 1972
2. Joseph Di Saia b. 1982
e. John Lloyd Bergbower b. 2 Dec 1950
f. Grant M. Bergbower
g. Cory E. Bergbower b. 13 Dec 1958 m. Salerina
b. Jul 1958
1. Wendy Bergbower b. Jun 1981
2. Grant Bergbower b. Jun 1982
F. Rapheal Bergbower b. 8 Jun 1929 m. Rosemary Zumbahlen
b. 29 Apr 1934
a. Diane Bergbower b. 3 Jan 1953 m. Gary Farley
b. 12 Jul 1951
1. Travis Farley b. 13 Sep 1981
b. Karen Bergbower b. 2 Oct. 1954 m. Larry Howard
b. 20 Jul 1952
1. Brad Howard b. 28 May 1981
2. Ryan Howard b. 3 Jul 1983
c. Gloria Bergbower b. 27 Aug 1955 m. Tim McDonald
b. 27 Aug 1956
d. Kenneth Bergbower b. 20 Nov 1957
e. Jeanne Bergbower b. 13 Jan 1981
f. Wayne Bergbower b. 3 Dec 1961 m. Susan Jones
b. 20 Aug 1963
g. Mark Bergbower b. 20 Dec 1963 m. Beth Bohannen
b. 6 Oct 1965
1. Kiley Bergbower b. 27 Jun 1983
h. Scott Bergbower b. 14 Jun 1967
G. Roseanne Bergbower b. 6 Jan 1932 m. Donald Francis Frichtl
b. 24 Apr 1932
a. Donald Lee Frichtl b. 24 Aug 1953 m. Sarah Jane Kapper
b. 24 Apr 1952
1. Jason Lee Frichtl b. 11 Nov 1975
2. Malissa Marie Frichtl b. 11 May 1977
3. Eric Joseph Frichtl b. 22 Jan 1980
4. Craig Francis Frichtl b. 22 Apr 1981
5. Andrea Lyn Frichtl b. 26 Nov 1983
b. Dennis Ray Frichtl b. 17 Jun 1956 m. Ramona Joy York
b. 5 Feb 1957
c. David LeRoy Frichtl b. 22 Dec 1957 m. Sharon Denise Smith
b. 13 Mar 1960
1. Leonard Joseph Frichtl b. 31 Jan 1980
2. Tyler John Frichtl b. 17 April 1981
3. Erin Eireen Frichtl b. 19 Sep 1983
d. Catherine Ann Frichtl b. 30 Oct 1959 m. Mark Ledder
b. 12 Feb 1956
e. Douglas Joseph Frichtl b. 18 Mar 1961
f. Shirley Jo Frichtl b. 24 Dec 1962
g. Carol Sue Frichtl b. 9 Jun 1964
h. DeLane Paul Frichtl b. 22 Nov 1967
i. Kara Jean Frichtl b. 6 Feb 1976
H. Lawrence George Bergbower b. 16 May 1919 m. Vernell Blackerby
b. 16 Aug 1924 d. 2 Jun 1979
a. Ray Lawrence Bergbower b. 11 Aug 1948 m. Judith Loechel
b. 31 Oct 1950
1. Stacy Alaine Bergbower b. 11 Jul 1973
2. Michael Ray Bergbower b. 21 Apr 1976
3. Greg Lawrence Bergbower b. 21 Dec 1977
b. Vickie Bergbower b. 6 Feb 1953 m. Larry Young
b. 1 Dec 1950
1. Randall Wayne Young b. 7 Apr 1976
2. Brian Young b. 5 May 1981
c. Danny Lee Bergbower b. 9 Jan 1961 m. Sheri Smith
b. 1 Mar 1961
d. Shelly Lynn Bergbower b. 23 Apr 1963 m. Craig O'Neal Stuck
b. 10 Sep 1961
5. Anna Elizabeth Dhom [See Group Sheet]
6. Philomenia Dhom (See Group Sheet)
7. Josephine Cecelia Dhom [See Group Sheet] m. Frank Tilley
b. 17 Jun 1887 d. 1971
8. Theodore Francis Dhom [See Group Sheet] m. Mamie Hipp
b. 6 Sep 1904
A. Charles T. Dhom b. 20 Aug 1932 m. Dorthea A. Cerven
b. 18 Sep 1936
a. Diane M. Dhom b. 18 Feb 1963
b. Robert C. Dhom b. 30 Dec 1964
c. David M. Dhom b. 23 Apr 1968
9. Leo Thomas Dhom [See Group Sheet] m. (1) Kathryn Funkhouser
b. 10 Jul 1915 d. 9 Jun 1979
m. (2) Monica Michl Keller
b. 2 Jul 1918
A. Mary Lou Dhom b. 8 Jul 1933 m. (1) Phillip Leahy
b. 12 Jan 1927 d. 14 Sep 1958
m. (2) Eugene Menke
b. 21 Apr 1921 d. 3 Apr 1967
a. Charles Leahy b. 14 Dec 1952 m. Alison Peel
b. James Leahy b. 1 May 1953
c. Paul Leahy b. 8 Jan 1957 m. Kathy Walker b. 29 Sep 1957
d. Tim Menke b. 15 Oct 1961
e. Tom Menke b. 15 Oct 1961 m. Cheryl Jerrigan
1. Alichia Menke b. 17 Jun 1981
2. Tom Menke Jr. b. 31 Jan 1983
f. Dennis Menke b. 6 Oct 1962
g. Duane Menke b. 22 Apr 1964
B. Alan Dhom b. 6 Jan 1953 m. (1) Marsha Cochran b. 2 Jul 1955
m. (2) Kathy Tate b. 26 Aug 1961
a. Scott Dhom b. 15 Jul 1972
b. Keith Dhom b. 11 Aug 1974
c. Jessie Dhom b. 9 Aug 1979
10. Alexander Charles Dhom [See Group Sheet] m. Theresa M. Eckl
b. 20 Jul 1914
A. Marilyn Dhom b. 16 Apr 1936 m. Cleteus Zumbahlen
b. 12 Oct 1935
a. Steven Frances Zumbahlen b. 13 Aug 1959
b. Brenda Sue Zumbahlen b. 9 Sep 1960 m. Wayne Prummer
1. Mitchell Louis Prummer b. 18 Jun 1982
c. Michelle Marie Zumbahlen b. 17 Jul 1963
d. Kent Edward Zumbahlen b. 14 Jul 1966
e. Julie Ann Zumbahlen b. 13 Jul 1969
f. Sandra Kay Zumbahlen b. 4 Nov 1970
g. Stepheny Lynn Zumbahlen b. 18 Jun 1974
B. David Lee Dhom b. 29 Aug 1938 m. Shirley Luttitia Spelbring
b. 27 Mar 1941
a. Sheila Lynne Dhom b. 10 April 1959 m. Acen Thomas
b. 24 1959
1. Katie Jo Thomas b. 13 May 1980
2. Krista Jill Thomas b. 5 Apr 1984
b. Douglas Lee Dhom b. 1 Aug 1960 m. Lana Kay Hartrich
b. 29 Mar 1961
1. Kendra Kay Dhom b. 15 Sep 1980
2. Tyson Douglas Dhom b. 30 Jan 1984
c. Sharon Gail Dhom b. 5 Jul 1965 m. Kenneth Eugene Koebele
b. 26 Aug 1962
d. David Paul Dhom b. 22 Jun 1968
C. John Joseph Dhom b. 10 Jun 1941 m. Clara Bickers
b. 1 Dec 1942
a. Brenda Jo Dhom b. 4 Aug 1960 m. Michael Dallas
b. 26 Jan 19--
b. Barbara Jean Dhom b. 17 Sep 1961 m. Andrew Palen
b. 11 Aug 1958
c. Lisa Kay Dhom b. 27 Oct 1964 m. Thomas Wetherholt
b. 17 Oct 1961
d. Gretchen Carole Dhom b. 27 Jan 1967
D. George Roy Dhom b. 13 Nov 1943 m. Linda Carol Bell
b. 23 Jul 1943
a. Wesley Dennis Dhom b. 18 Jun 1966 d. 26 Jun 1984
b. Roy Allen Dhom b. 24 Sep 1967
c. Melanie Carol Dhom b. 25 Nov 1970
d. Matthew Boyd Dhom b. 14 May 1982
E. Ronald Dhom b. 27 May 1950 m. Ethel Mae Huber
b. 4 Feb 1952
F. Stan Dhom b. 10 Aug 1952
G. Stephen Dhom b. 27 May 1950 m. Vicki Lynn Brown
a. John Jason Dhom b. 26 Oct 1976
H. Pam Dhom b. 11 Aug 1960 m. James Stephenson
b. 1 Dec 1956
B. Rosella Dhom b. 17 Apr m. Gerald Hemrich, b. 10 Jan 1937
a. Connie Jo Hemrich b. 9 May 1960, m. Dennis Rae Griffith 08/25/1984
b. Phyllis Kay Hemrich b. 7 Sep 1961 m. Fred Neu
c. Roger Lee Hemrich b. 10 Oct 1962, m. Sherrie Ochs 02/16/1985
d. William Neson Hemrich b. 1 Jan 1965
e. Randy Joseph Hemrich b. 21 Jun 1966
f. Bradley Christopher Hemrich b. 22 Aug 1968
g. Nicklous Anthony Hemrich b. 6 Mar 1970
h. Theresa Marie Hemrich b. 21 Mar 1974
i. Tracy Ann Hemrich b. 28 Jul 1976
C. Theodore A. Dhom b. 3 May 1940
D. Martha Dhom b. 6 Dec 1943 m. Bernard Kessler
a. Millicent Ann Kessler b. 9 Jan. 1967
b. Leland Kessler b. 19 Apr 1968
c. Ellen Marie Kessler b. 26 Oct 1970
d. Susan Kay Kessler b. 8 Aug 1974
e. Matthew Kessler b. 8 May 1976
E. Andrew F. Dhom b. 14 Mar 1947 m. Sharon Osthoff
b. 10 Dec 1948
a. Justin Paul Dhom b. 5 Jul 1975
b. Jessica Johanna Dhom b. 25 Dec 1979
11. John Raphael Dhom [See Group Sheet] m. Doris Burwell
b. 25 Sep 1920
A. Raymond Raphael Dhom b. 8 Sep 1937 m. Ruth Ann York
b. 16 Mar 1943
a. Robin Rae Dhom b. 18 Nov 1961 m. Charles Russell Wakefield
b. 30 Oct 1957
1. Frederich Douglas Wakefield b. 17 Sep 1978
2. Joshua Ray Wakefield b. 7 Jun 1981
b. Renee Ann Dhom b. 4 Feb 1963 m. Terry Dean Welker
b. 7 Dec 1950
1. Sarah Renee Welker b. 7 Dec 1983
c. Randall Kelly Dhom b. 15 Jun 1965
d. Ronald Franklin Dhom b. 10 Feb 1970
e. Rachel Mae Dhom b. 18 Dec 1973
B. David Lee Dhom b. 29 Aug 1938 m. Shirley Luttitia Spelbring
b. 27 Mar 1941
a. Sheila Lynne Dhom b. 10 April 1959 m. Acen Thomas
b. 24 Dec 1959
1. Katie Jo Thomas b. 13 May 1980
2. Krista Jill Thomas b. 5 Apr 1984
b. Douglas Lee Dhom b. 1 Aug 1960 m. Lana Kay Hartrich
b. 29 Mar 1961
1. Kendra Kay Dhom b. 15 Sep 1980
2. Tyson Douglas Dhom b. 30 Jan 1984
c. Sharon Gail Dhom b. 5 Jul 1965 m. Kenneth Eugene Koebele
b. 26 Aug 1962
d. David Paul Dhom b. 22 Jun 1968
C. John Joseph Dhom b. 10 Jun 1941 m. Clara Bickers
b. 1 Dec 1942
a. Brenda Jo Dhom b. 4 Aug 1960 m. Michael Dallas
b. 26 Jan 19--
b. Barbara Jean Dhom b. 17 Sep 1961 m. Andrew Palen
b. 11 Aug 1958
c. Lisa Kay Dhom b. 27 Oct 1964 m. Thomas Wetherholt
b. 17 Oct 1961
d. Gretchen Carole Dhom b. 27 Jan 1967
D. George Roy Dhom b. 13 Nov 1943 m. Linda Carol Bell
b. 23 Jul 1943
a. Wesley Dennis Dhom b. 18 Jun 1966 d. 26 Jun 1984
b. Roy Allen Dhom b. 24 Sep 1967
c. Melanie Carol Dhom b. 25 Nov 1970
d. Matthew Boyd Dhom b. 14 May 1982
E. Ronald Dhom b. 27 May 1950 m. Ethel Mae Huber
b. 4 Feb 1952
F. Stan Dhom b. 10 Aug 1952
G. Stephen Dhom b. 27 May 1950 m. Vicki Lynn Brown
a. John Jason Dhom b. 26 Oct 1976
H. Pam Dhom b. 11 Aug 1960 m. James Stephenson
b. 1 Dec 1956

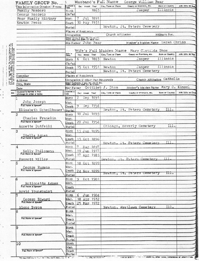
The George William Fear Family
Source: Dhom: 1682-1984
Child number 3: Mary Clotilda Dhom
The following srticle taken from the Newton Press-Mentor:
Funeral Services Held for Mrs. Fear
Mrs. Mary Clotilda Fear, 88 died at the home of a son George, east of Newton at 4:15 Monday.
Funeral services were held at 9 o'clock Thursday morning at the St. Thomas Catholic Church with Rev. Fr. Maurice Gavin officiating. Burial was in St. Peter Cemetery with the Parker service in charge.
Mrs. Fear, a daughter of Joseph and Mary Kinsel Dhom, was born Oct. 6, 1863 in Jasper Co. She was married to George W. Fear in 1891, and he preceded her in death in 1931.
Surviving are three sons, Joseph and George Fear of Newton and Charles Fear of Chicago; two daughters, Mrs. Harry (Nellie) Keeler of Willow Hill and Mrs. Arvid (Antoinette) Youngquist of South Bend, Indiana; two brothers, Henry and Charles Dhom of near Newton; and 25 grandchildren and 17 great grandchildren.
Preceding her in death in addition to her husband were two sons and four brothers.

Mary Clotilda (Dhom) Fear
Source: Dhom: 1682-1984
Photo Compliments of
Anita Bergbower
Mary C. Dhom [See Group Sheet]
7 Children:
1. John Joseph
2. Charles Franklin
3. Stella
Agnes
4. Nelly Philomena
5. George Eugene
6. Antionette Agnes
7. George
Edward
1. John Joseph Fear [See Group Sheet] m. Elizabeth Schedlbauer
A. Florent Joseph Fear b. 6 Jul 1922 m. Mattie Raney b. 1923
a. Gary Dale Fear b. 15 Mar 1947 m. Brenda Bartram
b. Linda Carol Fear b. 27 1952
c. Donald Wayne Fear b. 27 Oct 1953
B. Marian Madonna Fear b. 24 Feb 1924 m. Gordon Romack
C. Edward Eugene Fear b. 23 Feb 1926 m. Mabel Steward b. 1931
a. Jeanne Elaine Fear b. 3 Jun 1952
b. Rhonda Beth Fear b. 14 Jun 1955
D. Paul Wayne Fear b. 18 Jun 1928 m. Charlotte Maginn b. 1919
a. Janet Marie Fear b. 14 Jul 1954
b. Jerry Michael Fear b. 29 Aug 1955
c. Lori Ann Fear b. 26 Dec 1957
d. Stephen Joseph Fear b. 23 Jul 1961
E. Francis Leslie Fear b. 11 Sep 1930 m. Doris Bail
a. Daniel Raymond Fear b. 6 Apr 1956
b. Rebecca Suzanne Fear b. 10 Oct 1957
c. Jacqueline Ann Fear b. 1 Jan 1961
d. Sandra Rochelle Fear b. 13 Mar 1963
e. Randal Joseph Fear b. 5 Jul 1968
F. Lawrence Raymond Fear b. 18 Dec 1936 d. 1 Jul 1956
G. Elizabeth Jeannine Fear b. 1 Dec 1932
H. James Ronald Fear b. 7 Dec 1938 m. Fannie Ousley b. 1942
a. David Bryan Fear b. 9 Nov 1964
I. Mary Kathryn Fear b. 29 Jan 1941 m. Tony Eyer b. 1938
a. Lisa Marie Eyer b. 12 Aug 1966
b. Craig Anthony Eyer b. 6 Feb 1968
2. Charles Franklin Fear (See Group Sheet) m. Annette Dutfield
a. Donald Fear
3. Stella Agnes Fear [See Group Sheet]
4. Nelly Philomena Fear (See Group Sheet) m. Everett Miller, b. 1897
A. Annette Marie Miller b. 21 May 1918 m. Theodore Bergbower
a. Charles Bergbower b. 26 May 1938 m. Ruth Utley
1. Angela Bergbower b. 30 Apr 1961 m. Daniel Freeman
2. Bryan Bergbower b. Jun 1963
b. Eugene Bergbower b. 8 Jan 1942 m. Judy Derler b. 1943
1. Bradley Bergbower b. 7 Mar 1963 m. Lori Hicks, b. 1964
1a. Holly Bergbower 12 Aug 1981
2b. Matthew Bergbower b. 13 Aug 1982
2. Barry Bergbower b. 21 Jul 1964
3. Barbara Bergbower b. 21 Jul 1970
c. Shirley Berbower b. 28 Mar 1947 m. (1) George Kibler
m. (2) Floyd Osborn
1. Michele R. Kibler b. 4 Jul 1967
2. Richele A. Kibler b. 15 Jan 1969
3. Jesse W. Osborn b. 15 Dec 1981
d. Marjorie Bergbower b. 27 Jan 1951 m. Ralph Boatman, b. 1952
e. Deborah Bergbower b. 29 May 1955 m. Dennis Clark, b. 1954
1. Rodney Clark b. 9 Feb 1975
2. Ryan Clark b. 4 Jan 1977
B. Rosemary Antoinette Miller b. 1 Nov 1920 m. Russell Miller
a. Donald Lee Miller m. Patricia Shryock
1. David L. Miller b. 3 Jan 1957
2. Vicki Lynn Miller b.10 Feb 1958
3. Terri Jean Miller b. 1 Apr 1963
4. Christopher Joseph Miller b. 15 Mar 1970
5. Mark Allen Miller b. 24 Jun 1973
b. Everett Miller b. 4 Jan 1940 m. Evea Littlejohn b. 1941
1. Tanya Kay Miller b. 14 Sep 1960 m. Donald Stegmoller
2. Tammy Sue Miller b. 19 Nov 1962 m. Mark Kirts
2a. Amy Kirts b. 21 May 1982
3. Michele Lea Miller b. 18 Jul 1968
c. Katherine Miller b. 17 Feb 1943 m. (1) Donald Reynolds (2) Joe Dunphy
d. Gerald Miller b. 26 Mar 1946 m. (1)Sharon Layton (2) Sally Ferris
1. Jerry
2. Terry
3.Garry
e. Christine Antoinette Miller b. 28 Aug d. 3 Dec 1968
f. James Russell Miller b. 22 Aug 1956 m. Barbara Stuckemeyer
1. Hanna Louise Miller b. 22 Jan 1982
C. Ralph Joseph Miller b. 6 Nov 1922 m. Rose Sgro b. 1924
a. Carole Ann Miller b. 16 May 1943
b. Patricia Ellen Miller b. 10 Jul 1949
D. Marjorie Rachel Miller b. 3 Feb 1925 m. Marcel St. Aubin
a. Marcelene Miller m. Joe Angel Perez
b. George Joseph Miller b. Karen Terrie
E. Madonna Catherine Miller b. 27 May 1932 M. Louis Abdoo
a. Richard Abdoo
b. Robert Abdoo
c. Sandra Abdoo
5. George Eugene Fear [See Group Sheet]
6. Antoinette Agnes Fear [See Group Sheet] m. Arvid Youngquist
A. Gerald A. Fear b. Aug 1920
B. Vivian Jean Youngquist
C. Ronald Youngquist
7. George Edward Fear (See Group Sheet) m. Alene Byron b. 1914
A. Florence Marian Fear b. Sep 1932 m. (1) Henry Utley (2) Daniel Britton
a. Stephen R. Utley b. 18 Jul 1951 m. Mary Lucinda Grayling
b. Danny Britton b. 8 May 1956 m. Ann Perisho b. 1962
c. Kimberly Britton m. Mark Cummins
1. Suzanne Lee Cummins
d. Sheila Britton m. Scott Schroeder
2. Blake Scott Schroeder
B. Marcella Clotilda Fear b. Sep 1934 m. Herman Whalen
a. Joyce Darlene Whalen b. 10 Apr 1952 m. Randy Loy
1. Willian Edward Loy b. 17 Dec 1973
b. Janet Diane Whalen b. 30 Sept 1957 m. Stanley Banetta
1. Thomas Earl Vanetta b. Nov 1980
2. Kara Arlene Vanetta b. Mar 1984
c. Jeffery Alan Whalen b. 17 Mar 1962
C. Richard Lee Fear b. 25 Aug 1936 m. Thelma Rice Swick
a. David Brian Swick
b. Richard Fear
c. James Fear
d. Michael Fear
D. Beverly Ann Fear b. 22 Mar 1940 m. Elmer Harness
a. Cindy Kay Harness b. 25 Jan 1965
b. Kevin Lee Harness b. 10 Aug 1969
E. Raymond Edward Fear b. 1 Mar 1944 m. Fonda Kay Fear, b. 2 Jan 1949
a. John Raymond Fear b. 3 Oct 1968
b. Cameron Lee Fear b. 10 Oct 1969
c. Justin Fear b. 29 Sep 1977
d. Andrew Fear b. 10 Jul 1980
F. Connie Sue Fear b. 1958 m. Robert Keller b. 1949
a. Cyrstal Keller b. 31 Jan 1979
G. Bonnie Sue Fear b. 1948

Veronica Elisabeth Dhom Family Page
Source: Dhom: 1682-1984

The Clement Valentine Dhom Family Group
Source: Dhom: 1682-1984

Clement Dhom and Kathryn Menks
Compliments of Gertrude Guerrettaz
Source: Dhom: 1682-1984
Child number 5: Clement Valentine Dhom
The following article taken from the Newton Press-Mentor[Editor's Note: November 1934]:
The Grim Reaper
Clem Dhom, a former resident of St. Peter Vicinity northeast of Newton, was fataly injuried in an auto accident near Farmingdale, New Jersey, last Thursday, and died a day later at the hospital there. Mr. Dhom operated a truck farm near Farmingdale and was driving a truck at the time of the accident. The machine skidded on the road and went into a ditch crashing it into a pole and crushing him. His skull was fractured and he received internal injuries.
Mr. Dhom, a son of Mr. and Mrs. Joseph Dhom, was born northeast of Newton, December 5 1864. He was united in marriage to Miss Katherine Menke, 22nd of October 1890. She preceded him in death many years ago. He was later married again; his second wife passed away two years ago.
Surviving him are 5 children: Harry Dhom of near Newton, Edmond Dhom on the U.S.S. Maryland, San Diego, California, George F. Dhom of Rockford, Mrs. Agnes Honzick of California and Mrs. Nettie Witherspoon of Evanston; 5 brothers, Theodore, Henry, and Charles J. of near Newton, Gus Dhom of Beloit,Wisconsin and Frank Dhom of Chicago and 3 sisters, Mrs. George Fear of near Willow Hill, Mrs. Thomas Huber of St. Marie, and Miss Minnie Dhom of Granite City, besides other friends and relatives.
Funeral services held at St. Thomas Catholic Church Thursday morning with interment in St. Peters Cemetery north-east of Newton. Rev. John Lupton officiating.
CLEMENT V. DHOM
6 Children:
1. Antoinette Marie
2. Harry
J.
3. Leo
4. George F.
5. Agnes M.
6.Edmond T.
1. Antoinette Marie Dhom [See Group Sheet] m. William Witherspoon, b. 24 May, d. 18 May 1957
A. James Witherspoon b. 25 Apr 1917 m. Virgina Dearlove b. 12 Dec 1921
B. Helen Louise Witherspoon b. 31 Mar 1927 m. William Cade b. 28 Sept 1920
a. Debra Louise Cade b. 7 Oct 1953 m. Dean Allen Spina b. 9 Sep 1952
1. Sarah Marie Spina b. 11 Dec 1981
b. Holly Anne Cade b. 29 Dec 1956
2. Harry J. Dhom [See Group Sheet] m. Thersesa Schuch b. 19 Jun 1894
A. Mary Catherine Dhom b. 22 Jul 1917, m. Thomas Bergbower about 13 Oct 1914
a. Carol Marie Bergbower b. 23 Jul 1939 m. Clinton Purcell b. 9 Aug 1937
1. Robert Anthony Purcell b. 15 Jan 1959 m. Janet Cohorst
2. Jane Ann Purcell b. 19 Jul 1960
3. Karen Elaine Purcell b. 9 Dec 1964
b. Joan Kathleen Bergbower b. 7 Aug 1941 m. Ronald Coleman b. 23 May 1937
1. Johanna Coleman b. 23 Dec 1963
2. Todd Coleman b. 31 May 1965
c. Gerald Thomas Bergbower b. 26 Aug 1943 m. Verna Fisher b. 28 Mar 1944
1. Theresa Bergbower b. 29 Nov 1966
2. Sandra Bergbower b. 21 Aug 1968
3. Kathy Bergbower b. 9 Apr 1970
4. Sharon Bergbower b. 1 Jun 1975
5. Greg Bergbower b. 7 May 1978
d. Robert Francis Bergbower b. 16 Jun 1945
e. Paul Steven Bergbower b. 5 Mar 1950 m. Suzette Wilson b. 10 Sep 1952
1. Seven Christopher Bergbower b. 7 Sep 1983
f. James Anthony Bergbower b. 22 Mar 1951 m. Theresas Nosbisch b. 19 Apr 1958
g. Mary Sue Bergbower b. 30 Sep 1954 m. John Blalock b. 15 Aug 1943
1. Shane Blalock b. 15 Aug 1973
2. Tom Blalock b. 10 Apr 1977
h. Janice Ann Bergbower b. 14 Jul 1962
B. Theresa Marie Dhom b. 1919 d. 6 Oct 1936
C. Gertrude Frances b. 27 Aug 1921 m. Donald Lee Guerrettaz b. 31 Jul 1922
a. Janet Marie Guerrettaz b. 28 Fev 1943 m. Maurice Thomas Brooks b. 16 Nov 1935
1. Patricia Ann Brooks b. 12 Jun 1960 m. Ronald Ochs b. 16 Aug 1951
a. Lindsey Marie Ochs b. 14 Feb 1983
2. Tony Allen Brooks b. 10 Apr 1963 m. Geri Dobbins 22 Jul 1964
3. Julie Marie Brooks b. 9 Jun 1965
D. Victor Harry Dhom b. 28 Nov 1925 m. Evelyn Schackmann b. 14 Mar 1927
a. Vicki Lynn Dhom b. 2 Jan 1948 d. 2 Jan 1948
b. Phillip L. Dhom b. 19 May 1951 m. Vickie Hildebrand
1. Lindsey B. Dhom b. 2 Oct 1980
c. Patrick J. Dhom b. 19 Mar 1953 m. Janet M. Apke
1. Melinda M. Dhom b. 1 Oct 1980
2. Aaron P. Dhom b. 20 Jan 1982
d. Vickie Sue Dhom b. 20 Oct 1959 m. Jack Ooton
1. Kendra S. Ooton b. 11 Dec 1981
E. Joan Dhom b. 18 Oct 1929 m. Samuel Beverlin b. 9 Jul 1923 d. 31 Jul 1960
a. Michael Beverlin b. 17 Oct 1950 m. Mary Lou Martinez b. 1 Oct 1949
1. Norbert Beverlin b. 31 Aug 1967
2. Melissa Beverlin b. 27 Oct 1971
3. Jane Beverlin b. 22 Jun 1973
4. Sammy Beverlin b. 25 Sep 1976
b. Sylvan Beverlin b. 10 Jun 1952 m. Jamie Yates b. 22 Aug 1952
1. Jason Beverlin b. 12 Mar 1971
c. Jane Beverlin b. 22 Sep 1953 d. 19 Jun 1973 m. Chris Correll b. 23 Nov 1950
d. Tom Beverlin b. 1 Mar 1955 m. Christa Bushur b. 9 Aug 1955
1. Luke Beverlin b. 31 Mar 1980
2. Nick Beverlin b. Aug 1982
3. Anna Elizabeth Beverlin b. 3 Nov 1983
F. Robert Joseph Dhom b. 11 Apr 1923 d. 27 Nov 1943; died in W. W. II lost at sea
G. William Francis Dhom b. 24 Feb 1932 m. Lois Elizabeth Brummer b. 1 Nov 1931 d. 27 May 1975
a. Deborah Jo Dhom b. Nov 1957
b. Timothy Robert Dhom b. Aug 1958
c. Douglas Paul Dhom b. Nov 1963
H. James Eugene Dhom b. 8 Jun 1936 m. Geneva Ann Radke b. 16 Feb 1937
a. Brian James Dhom b. 3 Dec 1963
b. Kevin Eugene Dhom b. 26 Jun 1965
c. Sharon Ann Dhom b. 27 Feb 1969
3. Leo Dhom [See Group Sheet]
4. George F. Dhom [See Group Sheet] m. Ethlyn Gertrude Spath b. 29 Aug 1899 d. 26 Mar 1971
For some reason, in the 1920's, George changed the spelling of the name Dhom to Dohm.
A. Marilyn Margaret Dohm b. 7 Jun 1925
B. Jerome Edward Dohm b. 6 Oct 1927 m. Lou Ann Recker b. 16 May 1927
a. Mary Ann Dohm b. 19 Jul 1953 m. Ronald Dean Bonacquist b. 18 Sep 1952
1. Jeremy Christian Bonacquist b. 16 Oct 1971
2. Sarah Emily Ann Bonacquist b. 28 Nov 1979
b. Michael Zachary Dohm b. 3 Sep 1954 m. Carol Lynn Smith b. 27 Mar 1952
1. Kathryn Michelle Dohm b. 28 Jul 1983
c. Susan Louise Dohm b. 12 Jun 1956
d. Carol Beth Dohm b. 2 Apr 1958
e. Amy Kathryn Dohm b. 20 Mar 1961
C. Ethlyn Ann Dohm b. 18 Dec 1929 m. Ronald Crosbie b. 20 Apr 1927
a. Catherine Locke Crosbie b. 20 Aug 1957
b. Caroline Seton Crosbie b. 14 Oct 1958
c. Marilyn Ann Crosbie b. 19 Jul 1962
d. Allison Anderson Crosbie b. 18 Dec 1966
D. George Dennis Dohm b. 12 Sep 1931 m. Jillian Alice Meyers b. 7 Jun 1940
a. Julia Kay Dohm b. 5 Oct 1961 m. Gardel Prom
1. Molly Ann Helm b. 3 Nov 1979
2. Keara Colleen Prom b. 25 Jan 1984
b. Phillip George Dohm b. 12 Jul 1963

The Josephine Dhom Family Group
Source: Dhom: 1682-1984

The August Samuel Dhom Family Group
Source: Dhom: 1682-1984

Nora and August Dhom
Compliments of Gertrude Guerrettaz
Source: Dhom: 1682-1984
Child number 7: August Samuel Dhom
Due to the fact, we could not find an obituary for August, we have instead here a few words about him taken from a letter of his daughter, Ethel EugeniaFitzsimmons.
"Yes, we're proud to have had such wonderful parents. Dad always was a good father to us. We were all raised in the Catholic Faith. Mother became a convert to our faith and taught all of us our religious instructions, preparing us for First Communion, Confirmation, etc. Father had a beautiful bass voice and participated in local choirs, being much in demand to sing the Christmas masses at the three Beloit churches. Of course he was always faithful to St. Peters in South Beloit for the early morning mass but sang Mid-night in St. Thomas the Aquinas in Beloit for many years.
I remember being dragged out of bed early on Christmas morning and Dad would light wax candles on the Christmas tree and we enjoyed the beauty of Christmas at home before we ventured out to the cold morning air for 6 A. M. mass. Christmas brings back many fond memories. Maybe not as many gifts as are exchanged today but real family love, hand made items such as wooden cupboards and doll beds which Dad created with his own hands and Mother made items of dress material, knitted caps and mittens and of course always a new dress for our dollies. We had a big family dinner. The older ones had oyster stew while we little ones slept the night before and they brought out the gifts from their hiding places and decorated the Tree."
AUGUST S. DHOM [See Group Sheet]
4 Children:
1. Audrey Josehpine
2. Ethel
Eugenia
3. William Frederick
4. Katherine Jane
1. Audrey Josephine Dhom m. Edward Perkins
A. Thomas Joseph Perkins b. 1938 m. Karen Walters
a. Thomas J. Perkins II m. Caren Richards
b. Terry Perkins
c. Timothy Perkins
d. Susan Audrey Perkins
B. Rosemary Perkins b. 1939 m. 1. Arnie Blabaum 2. John Blabaum
C. John Michael Perkins b.23 Oct 1940 m. Helen m. Cora
a. Theresa Marie Perkins b. 11 Oct 1963
b. Patrick John Perkins b. 14 Mar 1970
D. William Edward Perkins b. 21 Mar 1942 m. Sheila _____
3 Children
2. Ethel Eugenia Dhom m. Leo E. Fitzsimmons
A. Nora Jane Fitzsimmons b. 22 Jun 1945
B. John Thomas Fitzsimmons b. 21 Apr 1949 m. Anna Brossard
C. Robert William Fitzsimmons b. 6 May 1954 m. Mary Reinhardt
a. Kathryn Margaret Fitzsimmons b. 20 Sep 1982
3. William Frederick Dhom m. Catherine Edwards
A. Raymond Joseph Dhom b. 16 Feb 1946 m. Diane Telfair
a. Traci Ann Dhom b. 8 Mar 1969
b. Betsy Lynn Dhom b. 13 Sept 1981
B. James Michael Dhom b. 3 Mar 1948 m. Linda Schenck
a. Jody Marie Dhom b. 8 Aug 1975
b. Amy Beth Dhom b. 5 Sep 1977
c. Steven Wade Dhom b. 10 Jul 1981
C. Rosemarie Ellen Dhom b. 17 Nov 1951 m. William Beaman
a. Brett William Beaman b. 18 Dec 1977
b. Ryan Christopher Beaman b. 21 Dec 1979
c. Stacy Elizabeth Beaman b. 31 Dec 1981
4. Katherine Jane Dhom m. Max Meredith Koper
A. Roger Max Koper b. 18 June 1940 d. 17 Dec 1959
B. Daniel Ralph Koper b. 8 Apr 1948 m. Sarah J. Kramlich
a. Jennifer Robin Koper b. 30 Jul 1972
b. Zachary Clark Koper b. 5 Oct 1974
c. Gabrielle Marie Koper b. 11 May 1981
C. Patricia Ann Koper b. 26 Aug 1950 d. 26 Aug 1950
D. Gregory Alan Koper b. 30 May 1952 m. La Donna F. Whalen
a. Brian Anthony Koper b. 29 Dec. 1977

The Frank Eugene Dhom Family Group
Source: Dhom: 1682-1984
Child number 8: Frank Eugene Dhom
The following article taken from the Newton Press-Mentor:
The Grim Reaper
Frank E. Dhom
Frank E. Dhom, a former resident of this city was laid to rest in Mt.Calvary Cemetery, Thursday morning following a requiem mass at the St. Thomas Catholic Church in Newton. Rev. John Lupton, pastor, officiated. Mr. Dhom dropped dead at the corner of 75th and Cottage Grove Ave. in Chicago, Monday afternoon, Dec. 3, while walking along the street. Death was due to heart failure.
Mr. Dhom, a son of Mr. and Mrs. Joseph Dhom, was born in St. Peter vicinity northeast of Newton January 31, 1874. She survives him. They have resided in Chicago for many years where he was employed as a decorator.
Besides his wife he leaves four brother, Therodore, Henry and Charles J. of Newton, and Gus Dhom of Beloit, Wisconsin. Three sisters: Mrs. George Fear of near Willow Hill, Mrs. Thomas Huber of St. Marie and Miss Minnie of Granite City; besides many other relatives and friends. Another brother Clem Dhom was killed in an auto accident nerar Farmingdale, N. J. three weeks ago and was brought back here for burial.
Frank and Katherine had no children.

The Henry Cornelius Dhom Family Group
Source: Dhom: 1682-1984

Arzelia and Henry Dhom
Compliments of Ed Dhom
Source: Dhom: 1682-1984
Child number 9: Henry Cornelius Dhom
The following article taken from the Newton Press-Mentor:
Henry C. Dhom, 76, a retired farmer, died at his home five miles east of Newton at 1:30 p.m. Saturday.
Funeral services will be held at 9:00 Tuesday morning in St. Thomas Catholic Church in Newton, with Rev. Fr. Maurice Gavin officiating. Burial will be in St. Peters Cemetery east of Newton. The body will remain at the Parker home until time for services. The rosary will be recited there at 8:00 Monday evening.
Mr. Dhom was born Aug. 9, 1876 in Willow Hill township, the son of Joseph and Mary (Kinsel) Dhom. He married Arzelia Burton April 11, 1899, and she survives. They had made their home east of Newton for the past 45 years.
Surviving in addition to the wife are seven sons, Harold, Earl, Raymond, Neil, and Ralph, all of Newton. Henry L. of Matoon and Inlow of Kankakee; 19 grandchildren and nine great grandchildren; and one brother, Charles Dhom of Newton.
Nine brothers and sisters preceded him in death.
HENRY C. DHOM [See Group Sheet]
7 Children:
1. John Harold
2. Earl Joseph
3. Raymond Valentine
4. Cornelius Francis
5. Ralph August
6. Henry Lorraine
7. Inlaw Eugene
1. John Harold Dhom [See Group Sheet] m. Ruth Miller b. 1902 d. 1969
A. Herndon Joseph Dhom b. 25 Nov 1921 m. Virginia McGowan
B. Genevieve Rachel Dhom b. 2 Jun 1923 m. Raymond Shryock
ab. 17 Jan 1918
a. Terry Raymond Shryock b. 2 Sep 1946 m. Sheryl Ault
b. 14 May 1948
1. Marlisa Dawn Shryock b. 22 Sep 1969
2. Heather Lane Shryock b. 12 May 1971
3. Adam Raymond Shryock b. 14 Oct 1975
b. Dianna Marie Shryock b. 19 Jun 1949 m. Jay Dee Stroud
b. 11 Oct 1946
1. Gennie Lynn Stroud b. 30 Apr 1947 (died at birth)
2. Charles Corbin Stroud b. 12 Oct 1977
3. Jo Dee Marie Stroud b. 16 Mar 1979
c. Steven Lynn Shryock b. 21 Jun 1951 m. Diana Thompson
b. 30 Aug 1952
1. William Brandon Shryock b. 15 May 1975
2. Heidi Alane Shryock b. 19 May 1977
3. Wade Everett Shryock b. 3 Jul 19j83
d. Carol Sue Shryock b. 27 May 1954 m. David Lee Kocher
b. 12 Nov 1949
1. Bradley Ray Kocher b. 9 Jan 1979
e. Nancy Jane Shryock b. 5 May 1958 m. Jack Lloyd Brown
b. 11 Aug 1952
1. Melanie Rene Brown b. 20 Jun 1983
f. Randall Mark Shryock b. 2 0 Jun 1960 m. Glenna Joan
b. 25 Feb 1963
C. Robert Harold Dhom b. 25 Jan 1925 m. Francella Elizabeth Mattingly
b. 18 Apr 1933
a. David Harold Dhom b. 4 Jan 1954 m. Lisa Goss
1. Jennifer Nichol Dhom b. 19 Aug 1981
b. Mary Ann Dhom b. 11 Aug 1955 m. Leonard Kocher
1. Holly Ann Kocher b. 19 Jan 1975
2. Lori Suzanne Kocher b. 4 Dec 1979
3. Scott Eric Kocher b. 6 Nov 1980
c. Roberta Francene Dhom b. 22 Jun 1958 m. Richard Ginder
1. Nathan Robert Ginder b. 16 Dec 1982
d. Theresa Marie Dhom b. 26 Dec
1964 m. (1) Greg Zuber, (2) Lucas ______
[Editor's Note: Illegible handwritten last name in text]
D. Mary June Dhom b. 19 Aug 1927 m. Robert C. Ochs
a. Barbara Suzanne Ochs b. 28 Aug 1948 m. Dennis Lowry
1. Amy Lynn Lowry b. 14 Sep 1969
2. Angela Marie Lowry b. 14 Sep 1969
b. Michael John Ochs b. 3 Oct 1951
E. Dean Cornelius Dhom b. 1 Oct 1932 m. Frances Jean Saunders
a. John Harold Dhom b. 8 Feb 1959
b. Susan Elaine Dhom b. 5 Jun 1964
F. Elizabeth Cecelia Dhom b. 17 Nov 1934 m. Theodore Ramelli
a. Thomas Harold Ramelli b. 1 Sep 1956 m. Beverly Blake
b. Alan Ray Ramelli b. 2 Jan 1959
c. Andrea Marie Ramelli n. 4 Jul 1960
G. Judith Ann Dhom b. 6 Apr 1943 m. Lawrence Harold Huitt
a. Christopher Harold Huitt b. 21 Dec 1962
b. Ronald Lee Huitt b. 16 Freb 1964
2. Earl Joseph Dhom [See Group Sheet] m. Alice Magdalene Hippler
A. Ivo Ray Dhom b. 19 Aug 1926 m. 1. Rose Vodrine 2. Naomi Welch
a. Patricia Kaye Dhom b. 14 Mar 1951 d. 16 Aug 1963
b. Ronald Welch Dhom (Step-son) b. 15 Mar 1941
3. Raymond Valentine Dhom (See Group Sheet)
4. Cornelius Dhom [See Group Sheet] m. Florence Marie Schafer
b. 27 May 1914 d. 19 Aug 1973
A. Mary Evelyn Dhom b. 29 Jul 1931 m. Charles E. Dhom
b. 22 Mar 1927
a. James Lee Dhom b. 27 Jul 1949 m. Donna Martens
b. 1l8 Mar 1950
1. Katrina Lee Dhom b. 4 Mar 1973
2. Matthew Lee Dhom b. 11 Nov 1978
3. Joshua Lee Dhom b. 16 Jun 1981
B. Margaret Ann Dhom b. 5 Dec 1934 m. Max Cunefare
a. Brenda Ann Cunefare b. 14 Oct 1956 m. Ricky Mincey b. 27 Mar 1955
1. Shawn Lee Mincey b. 14 Nov 1976
b. Brian Max Henry Cunefare b. 13 Jul 1958
c. Bradley Eugene Cunefare b. 15 Aug 1959 m. Dixie Juckett
1. Jenny Lynn Cunefare b. 10 Apr 1984
d. Barbara Sue Cunefare b. 7 May 1961 m. Gregory Shipley
b. 23 Mar 1959
1. Gregory Bruce Shipley b. 16 Mar 1978
2. Kenneth Alan Shipley b. 23 Jul 1980
3. Melissa Deeann Shipley b. 10 Jan 1984
C. Edward Eugene Dhom b. 11 Feb 1941 m. Judith Rae Jenkins
b. 17 May 1941
a. Wayne Edward Dhom b. 2 Mar 1961 m. Carol Ann Rauch
b. 11 Jul 1963
b. Randell Lee Dhom b. 14 Oct 1969
D. Rose Marie Dhom b. 16 Oct 1943 m. Dale Chapman b. 21 Aug 1941
a. Kristina Rose Chapman b. 13 Oct 1965
b. Kraig Duane Chapman b. 9 Mar 1967
c. Kurtis Dale Chapman b. 27 Mar 1976
E. Gerald Francis Dhom b. 8 Dec 1948
m. Martha Emmerich b. 1 Aug 1949 d. 23 Aug 1969
m. Margaret Elaine Brackett b. 16 May 1952
a. Julie Renee Dhom b. 16 Sep 1972
b. Marc Henry Dhom b. 11 Aug 1976
c. Joni Suzanne Dhom b. 30 Jan 1978
F. Henry Joseph Dhom b. 2 Jul 1950 d. 20 Mar 1971 m. Carole Banks
b. 7 Feb 1952
a. Daniel Joseph Dhom b. 5 Jul 1969
G. Thomas Leroy Dhom b. 31 Oct 1952 m. Rhonda Sparks
b. 6 Feb 1955
a. Michail Andrew Dhom b. 2 Sep 1975
b. Christopher Allen Dhom b. 9 Mar 1977
c. Jeffrey Douglas Dhom b. 13 Jun 1978
d. Nicholas Matthew Dhom b. 17 Jul 1981
H. Susan Irene Dhom b. 15 Sep 1953 m. Tony Sparks
b. 11 Feb 1953
a. Scott Anthony Sparks b. 27 Aug 1974
b. Jennifer April Sparks b. 14 Oct 1976
c. Erin Allison Sparks b. 17 Oct 1976
d. Gregg Aric Sparks b. 30 Jul 1978
e. Jesse Austen Sparks b. 30 Jul 1978
5. Ralph August Dhom [See Group Sheet] m. Elizabeth Wagner
A. Thomas Dhom b. 25 Oct 1964
B. Elizabeth Dhom b. 26 Jul 1966
6. Henry Lorraine Dhom [See Group Sheet] m. Roseann Passalacqua
b. 16 Jun 1919
A. Ralph Edward Dhom b. 4 Dec 1946
B. James Henry Dhom b. 17 Oct 1949 m. Hynda J. Ziev
b. 14 Dec 1948
C. Janet Sue Dhom b. 29 May 1954 m. David R. Stover
b. 12 Nov 1946
a. Amy Michelle Stover b. 21 Jul 1972
7. Inlaw Eugene Dhom [See Group Sheet] m. Donna Jean Hawk
b. 30 Nov 1929
A. Franklin Eugene Dhom b. 16 Sep 1950 m. Beverly Hicks
B. Carol Ann Dhom b. 1 Dec 1951 m. William J. Karlock
a. Jennifer Irene Karlock b. 16 Jan 1980
C. Janet Lynn Dhom b. 8 Jul 1954 m. David A. Horn
a. Jeremy David Horn b. 6 Jul 1971
b. Timothy Scott Horn b. 24 Dec 1973
c. Derek Russel Horn b. 27 Sep 1978
d. Marcia Ann Horn b. 19 Jul 1980
D. William Joseph Dhom b. 27 Jul 1955 m. Barbara Cleary
a. Jessica Lynn Dhom b. 11 Oct 1979
E. Catherine Marie Dhom b. 4 Dec 1957 m. James Carpenter
a. James Gerard Carpenter b. 25 Dec 1978
b. Ritchie Carpenter b. 15 Aug 1980
F. Paul Allen Dhom b. 30 May 1958 m. Linda LaTrell
G. Judith Kay Dhom b. 16 Aug 1960
H. Michael Wayne Dhom b. 6 Jan 1962 m. Lisa Lane Kiger

The Joseph Dhom Family Group
Source: Dhom: 1682-1984

The Charles Vincent Dhom Family Group
Source: Dhom: 1682-1984

Charles Dhom Wedding Party
L to r: Groomsman, Philomena Groom (Bridesmaid),
Josephine Lobmier (Bride), Charles Dohm (Groom)
Compliments of Ester Kerner
Source: Dhom: 1682-1984
Child Number 11: Charles Vincent Dhom
The following article taken from the Newton Press-Mentor:
Charles V. Dhom funeral on Saturday
Charles V. Dhom, 78, of Rt. 6, Newton, a like long resident of Jasper County, died at 12:20 A. M. Wednesday, November 30, 1960 at Richland Memorial Hospital in Olney. He had been in ill health for five years.
A Requiem Mass will be offered at 9 A. M. Saturday at St. Thomas Catholic Church by Rev. Maurice Gavin. Burial will be in St. Peters Cemetery. The rosary will be at 7:30 P. M. at Parker-Flagg Funeral Home where the body will remain until the time of service.
Mr. Dhom was born March 1, 1882 in Jasper County, a son of the late Joseph and Mary C. Kinsel Dhom. On September 22, 1908 he married Josephine Lobmier who survives.
A retired farmer, he was well known in Jasper County. He was a member of the Holy Name Society and Knights of Columbus.
He was the last of a family of 12 children. Surviving him besides his wife are 3 sons: Vincent and Charles "Shorty" of Newton and Lawrence of Woodstock, 4 daughters: Mrs. Fred (Christine) Stewart, Mrs. Norman (Clestine) Sherwood, both of Chicago, Mrs. Herbert (Florence) Mason of West Terre Haute, Indiana and Mrs. Andrew (Esther) Kerner of Newton and 24 grandchildren.
7 Children 1. Christine Elizabeth 2. Celestine Marie
3. Vincent Joseph 4. Esther Marie
5. Florence Victoria 6. Lawrence
Charles
7. Charles Edward
1. Christine Elizabeth Dhom [See Group Sheet] m. Frederick Patton Stewart
b. 23 Aug 1907
A. Josephine Ann Stewart b. 5 Sep 1944
B. James R. Stewart b. 25 Feb 1946
C. Susanne Stewart b. 26 Mar 1948 m. Dell Herman
2. Celestine Marie (Sally) Dhom [See Group Sheet] m. Norman Arthur Sherwood
b. 15 Apr 1915
A. Charles Arthur Sherwood b. 4 Mar 1941 m. 1 Linda Perry
a. Kelly Ann Sherwood b. 26 Aug 1963
m. 2 Patricia Eileen Brenner b. 8 Jun 1945
a. Jacqueline Ellen Sherwood b. 25 Jul 1972
b. Christine Celeste Sherwood b. 31 May 1975 d. 16 May 1979
B. Marilyn Louise Sherwood b. 17 Jun 1944 m. Ronald Kotechi
b. 28 Mar 1944
C. Robert Earl Sherwood b. 17 Dec 1948 m. Patricia Zapel Watson
a. Brian Watson b. 10 Jun 1970
b. Stacy Shewood b. 16 Sep 1979
3. Vincent Joseph Dhom (See Group Sheet) m. Hilda Elizabeth Kerner
b. 22 Sep 1915
A. Norman Bruce Dhom b. 2 Jul 1942 m. Gloria J. Fassino
b. 3 Jul 1943
a. Kristin Gail Dhom b. 14 Feb 1973
b. Gina Marie Dhom b. 26 May 1978
B. Dorthea Kay Dhom b. 8 Aug 1943 m. Richard S. Rhodes
b. 10 Sep 1938
a. Richard Todd Rhodes b. 5 Sep 1965
b. Kimberly Lynn Rhodes b. 5 Apr 1968
4. Esther Marie Dhom [See Group Sheet] m. Andrew George Kerner
b. 5 Mar 1918
A. George Henry Kerner b. 26 Feb m. Ruth Ann Thoele
a. Jeffery Andrew Kerner b. 9 Jul 1973
b. Theodore Paul Kerner b. 29 Dec 1975
c. Terri Ann Kerner b. 11 Apr 1979
d. Melissa Ann Kerner b. 22 Aug 1981
B. Betty Lynn Kerner b. 11 Feb 1950 m. John Francis Grunloh
b. 26 Oct 1947
a. John Vincent Grunloh b. 1 Jul 1970
b. Kristy Lynn Grunloh b. 30 Aug 1971
c. Laura Jean Grunloh b. 26 Jan 1974
C. Andrew George Kerner b. 5 Mar 1952 m. Connie Neighborg
b. 15 Jul 1955
a. Carmen Kerner b. 5 Oct 1981
b. James Andrew Kerner b. 12 Sep 1983
D. Sharon Rose Kerner b. 19 Feb 1954
E. Patricia Lee Kerner b. 17 Dec 1955
5. Florence Victoria Dhom [See Group Sheet] m. Herbert Arlie Mason
b. 4 Aug 1912
A. Herbert Lawrence Mason b. 18 Aug 1945 m. Laura Goldfuss
b. 18 Sep 1943
a. Michelle Susan Mason b. 18 Dec 1972
B. Robert Joseph Mason b. 10 Sep 1946 m. Nancy Grover
a. Paul R. Mason b. 1 Nov 1972
b. Eric H. Mason b. 5 Aug 1974
c. Angela M. Mason b. 9 May 1976
C. Carol Ann Mason b. 3 Jan 1950 m. 1 Dean A. Stockwell
a. Brian D. Stockwell b. 30 Nov 1974
m. 2 Terry J. Scott
a. Heather m. Scott b. 8 Sep 1980
b. Adam M. Scott b. 9 Jul 1982
D. John Wayne Mason b. 24 May 1952
E. Jean Ann Mason b. 10 Jan 1956
F. Steven Allen Mason b. 27 Dec 1960
6. Lawrence Edward Dhom [See Group Sheet] m. Shirley Mae Salzman
b. 5 Sep 1922
A. Lawrence Edward Dhom b. 3 Aug 1948 m. Peggy Lynn Hoey
b. 10 Aug 1949
a. Rebecca Sue Dhom b. 4 Mar 1968
b. Brian Edward Dhom b. 21 Dec 1970
B. Mary Lou Dhom b. 11 Apr 1951 m. Michael Edgar Goodwin
a. Christopher Goodwin b. 21 Jul 1973
b. Emily Goodwin b. 15 Mar 1976
c. Molly Goodwin b. 30 Nov 1977
d. Casey Goodwin b. 7 Jul 1982
C. Margaret (Peggy) Marian Dhom b. 10 Sep 1954 m. Lawrence Smith
a. Scott M. Smith b. 26 Oct 1980
b. Sarah M. Smith b. 7 Nov 1982
D. Patricia Josephine Dhom b. 10 Sep 1954 d. 18 Jul 1966
E. David Charles Dhom b. 17 Sep 1958 m. Meribeth Coughlin
a. Phillip C. Dhom b. 17 Jul 1981
b. Bridget M. Dhom b. 19 May 1983
7. Charles E. Dhom b. 22 Mar 1927 m. Mary Evelyn Dhom
b. 29 Jul 1931
A. James Lee Dhom b. 27 Jul 1949 m. Donna Martens
b. 18 Mar 1950
a. Katrina Lee Dhom b. 4 Mar 1973
b. Matthew Lee Dhom b. 11 Nov 1978
c. Joshua Lee Dhom b. 16 Jun 1981

The Philomenia Cecilia Dhom Family Group
Source: Dhom: 1682-1984
Child number 12: Philomenia Cecelia Dhom
The following article taken from the Newton Press-Mentor:
Miss Minnie Dhom dies Wednesday
Miss Minnie Dhom passed away Wednesday,
August 9th at Raymond where she was housekeeper for Father Oppenim. Death
was due to diabetes. She was about
55 years of age and was born near Newton on the 22 of July 1883. She was the
daughter of Mr. and Mrs. Joseph Dhom. She leaves 4 brothers and 2 sisters,
Henry, Theodore and Charles J. and Mrs. Delie Fear of near Newton, Gus
Dhom of Beloit, Wisconsin and Mrs. Susan Huber of St. Marie.
Funeral
services will be held at the St. Thomas Catholic Church in Newton Saturday
at 9 a. m. with burial in Mt. Calvary Cemetery.

Philomenia Dhom (on right)
Compliments of Margaret Dhom
Source: Dhom: 1682-1984
SECTION B
-1-
To keep from repeating myseld, the first few pages, (9-11), of this chronicle have been included in Section A., pages 2, 3, & 4, Therefore, I shall begin here with Johann Peter, the first born son of Urban Dhom (1682)-(1752).
It is nearly impossible to build a chart showing all people's relationship one to another. Because these two men have been instrumental in helping us discover our ancestry, we have included herein the genealogical charts of Robert and Emil Dhom.
This material has been translated from German to English. I ask all persons reading this to excuse my sometimes poor translations and choices of words. I have tried to be as accurate as I know how.
Sharon Dhom
My thanks to Mrs. Mack Kitten for her help in translating this material.
-2-
EMIL DHOM
Urban Dhom (1862 - 1752)
Maria Agnese
Johann Peter (1711 - 1833)
Maria Susanna Braun
Philipp Peter (1790 - 1868)
Philipp (1834 - 1915)
Helena Schlemmer
Jakob (1866 - 1940)
A. Ph. Helene Kremb
Emil (1904 - See Page 30, Section B)
Antonie Bernhardine (Emmi) Schweitzer
Hildegund Dorothee (1942)
Edgar Andre Imbschweiler (3 children)
1. Sibylle (1961)
2. Constanz (1963)
3. Natascha (1965)
-3-
Editor's Note: In the originial text, this page carries the Dhom family crest which appears at the head of this
online version of the history.
-4-
ROBERT DHOM
Urban Dhom (1862 - 1752)
Maria Agnese N.
Johannes (1729 - 1804)
Anna Margaretha Braun
Johann Philipp (1763 - 1841)
Maria Eisabeth Dhom
Johannes (1824 - 1905)
Christine Doerr (2nd marriage)
Heinrich (1859 - 1928)
Elise Hauser
Heinrich (1890 - 1958)
Barbara Heim
Robert (1919 - Commerzbank president
See Page 64, Section B).
Irmingard Bluhm (4 children)
1. Renate (1945)
2. Annegret (1947)
3. Mathias (1954)
4. Christof (1960)
-5-
Table of Contents Page
All Lines----------------------------------------------------------------8
Johann Peter-Ruppertsecken-----------------------------------13
Urban-Ruppertsecken----------------------------------------------14
Conditions of the Estate------------------------------------------16
St. Alban----------------------------------------------------------------17
St. Alban-Peter and Klara-----------------------------------------20
Ruppertsecken-Schweisweiler-----------------------------------22
Dornbach-----------------------------------------------------------------25 *
St. Alban-Bolanden---------------------------------------------------26
Marienthal-Schleifmuhle---------------------------------------------29 *
Alsenz----------------------------------------------------------------------32
Kreuznach----------------------------------------------------------------33
Berg - St. Alban--------------------------------------------------------35
St. Alban-Schneebergerhof--------------------------------------38
St. Alban-Borrstadt------------------------------------------------39 *
Ruppertsecken-Johannes --------------------------------------40
Johann Philipp-Ruppertsecken--------------------------------42
Russmuhle--------------------------------------------------------------43 *
Weitersweiler-----------------------------------------------------------47
Felsbergerhof-----------------------------------------------------------52
Johannes and Elisabeth --------------------------------------------53
Christian-Ruppertsecken-----------------------------------------55
Speyer--------------------------------------------------------------------57
Bitsch-Muhlbach in Bruch ---------------------------------------58 *
Homburg-Saar--------------------------------------------------------61
Gollheimer Hauschen------------------------------------------------68 *
Nachtrag------------------------------------------------------------------72
-6-
Family Name Register without Dhom For Section B
Allman 43 Gobel 50-17-26
Arneth 48 Grasstadter 18-72
Baldauf 46 Greth 32
Bappert 45 Grogro 21
Baum 30 Greuer 49
Baumann 55 Grunewald 34
Bauer 72 Hack 40
Blaum 37 Haffner Dr. Franz 59
Berg 17-19-24-33-34 Harrer 37
Berger 72 Haufe 50
Bender 72 Heim Dr. Georg 62
Bescher 20 Heitzmann 32-35
Bertram 50 Herberg 40
Besai 21-17 Henrich 27
Bidlinger 14-24-43 Henkel 26
Bieger 36 Hofrichter 44
Bold 34 Hoffmann Alfons 8
Bossong 54-60 Hoffmann 72
Braun 13-17-25-29-36-56 Hohn 34
Brinkmann 26 Imbschweiler 30
Blumera 40 Jelomek 30
Bluhm 64 Jochner 64
Bumb 20-37 Jost 33
Buschman 20-37 Jung 28
Burgey 27 Karling 48
Bugler 22 Kalt 28
Broschart 52 Karch 20-39
Dahl 34 Keiper 56
Demmerle 43-44 Kaufhold 46-48
Dederchs 46 Klag 40
Doerr 17-40=53 Klein 25
Doll 17 Krauss 37-50-68
Dum 8 Koch 13-14-17-25-53
Eckert 22 Kremb 8-14-24-30
Eichholtz 22 Kramer 70
Erlenwein 29 Knobloch 34
Faulhaber 68 Kroneberger 27
Felske 68 Kruggel 58
Fickeisen 24-40-53 Kohr 37
Fischer 24-40-53 Kutscheit 43
Forster 26 Kuhner 50
Frank 70 Kuchler 44
Frambach 33-46 Lang 53
Freyer 32 Lautenschlager 28
Fuchs 33 Lehmann 34
Fuss 26 Linn 19-32
Geis 36 Lotz 40
Giehl 17-45 Mayer 36
Gerhard 70 Masur 60
Glass 21 Martinack 71
Golsung 17-26 Mattern 49
-7-
Morsbach Hrch. Ritter 47 Strak 26
Muller 13-16-20-32-50-56 Strehl 19-37
Neurohr 43 Theis 60
Neunzling 43 Theil 68
Nippgen 20 Thom 18-45-44
Nuttel 43 Valder 50
Osterroth 43 Vogel 44
Ostermeyer 54 Vollet 8-14-53
Peschl 26 Volker 34
Pfeiffer 14 Wagner 70
Putsch 56 Wanzik 33
Raidl 55 Wassner 49
Reis 43 Weber 49
Rhein 22-43 Wellstein 69
Render 26 Werner 68
Rick 40 Weis 28
Ruckert 48 Willenbacher 39
Rocker 46 Weihe 21
Ross 22 Williams 49
Ruther 60 Witter 50
Rymkiewicz 68 Wilding 36
Sachs 8 Wohninsland 39
Sager 34 Wolf 55
Seibenwurst 72 Zepp 40
Siegel 70
Seibenwurst 72
Siegel 70
Sohner 29
Springer 64
Schafer 68
Scheidel 29
Scheu 29
Scheuer 31
Scheuerer 25
Schmeissling 34
Schmidt 71
Schmitt 50
Schneider 8-13-32-29
Schreiber 56
Schlemmer 18-29
Scholl 30
Schumacher 68
Schwab 26
Schweitzer 30
Schwalb 14
Schulz 45
Schwarz 49
Stay 34
Stadtmuller 52
Staubnitz 68
Steitz 14
Steinmetz 16
Storck 19-38
Stollhof 29-36-40-54
Stockfisch 34
-8-
Allgemeines
In these lines, I shall talk about the family names from Ruppertsecken that are mentioned in our chronicle. I shall especially refer to Alfona Hoffmann's story of Ruppertsecken.
The names listed around 1600 were Gangel, Hans, and Peter Schneider; later after the 30 years war (around 1683) the family Zepp was mentioned, and still later Valentine Dom (1705) and Urban Dhom (1708) are also mentioned.
Families from the Ruppertsecken, at the cost of the Kurpfalzischen forests, expanded their fields and most of the families were involved in this. By the year 1757, most of the migration to Ruppertsecken was completed and these names were also listed: (1) Schultheiss Sachs,(2) Peter Dum, (3) Adam Kremb, (4) Maxel Dum, and (5) Johann Dum.
Urban Dhom is listed in the church books in 1803 as the mayor of Ruppertsecken. The name Vollet is also mentioned.
Here are a few lines of the Hoffmanns story. The mayor Christian Vollet refused the temporary government (1848-49). On 11 October 1849, he was granted a medal for being faitthful to his fatherland in Kirchheimbolanden. The later mayors were: Valentine Kremb, Friedrich Dhom (1948-1956), and Herman Vollet (1956-1964).
-9 through 11-
-Please Note-
Pages 9-11 section B. have been deleted to refain from repeating material already covered in section A., pages 2-4 beginning with "The First Dhom".
To maintain consistent references made by page number in this section, this page represents pages 9-11 in the page numbering scheme of this section; the following page resumes with page number 12.
-12-
Anmerkung
The Catholics of Ruppertsecken had to go very far to church to Imsweiler, which however, was held in the Rockenhausen of public worship;it could be that also unofficial business was carried out there, which was not handled at the rectory in Imsweiler.
Ultimately, there exists the assumption that priests from Alzey, who came to Ruppertsecken, took care of the public worship duties there without involving the rectory in Imsweiler. So, important records could have been lost or they have not yet been found.
-13-
Johann Peter - Ruppertsecken
Johann Peter, the oldest son of Urban Dhom (1862-1757), was born on
September 15, 1711 in Ruppertsecken and died in 1771; he was 60 years old.
He married on March 11, 1753, Maria Susanna Braun, also 42 years old, the
daughter of Andreas Braun from Rockenhausen. The marriage lasted only a
short time. During time a son was born in 1754, who received the name of his
grandfather, Urban, and who continued the fatherly heritage in Ruppertsecken.
Before him a daughter, Susanna, was born, who married Jacob Muller
(origin unknown); a son was born from this marriage in 1760 and baptized with
the name Johannes.
Maria Susanna Dhom was already carried to the grave on March 11,
1755. The widower, Johann Peter, decided on a second marriage after five
years. His second wife was Eva Schneider(in), who was the daughter of
Wendelin and Susanna Schneider (probably from Ruppertsecken). The marriage
took place on January 22, 1760. Children from this second marriage could
not be established (verified). Information about the family affairs of Urban
and his wife, Margaretha Koch(in) can be found on the next page.
-14-
Urban - Ruppertsecken
Urban Dhom (See the previous pages) lived from 1754-1833. At the
age of 26, he married 18 year old Margaretha Koch from Imsweiler, whose
sister Catharina married Johann Philipp Kremb of the grinding mill and
another sister, Eva Barbara, married Johann Phillip Kremb of the castle mill
in Imsweiler. Margaretha Koch lived from 1762 - 1840. Margaretha bore for
her husband seven children, three sons and four daughters:
1. Johann Philipp Dhom, born in 1782, married Magdalena Schwalb from
Gerbach in 1805, when she was 18 years old. Of this marriage, a child with
the name Anna Margaretha was born, who married Christian Vollet from
Wurzweiler (1st marriage). Johann Philipp was 51 years old and his
daughter died already at the age of 22 years.
The parents of Margaretha Schwalb are: Heinrich Schwalb Wilhelmine Steitz.
2. Johannes Dhom (1784 - 1866) and Gertrud Bibinger (1789-1869)
From the Russmuhle (See further information under "Schweisweiler", page 22.)
3. Maria Margaretha Dhom was born in 1787 and married the widower
Henrich Pescher from Stetten in 1805.
4. Philipp Peter Dhom was born in Ruppertsecken in 1790, died in St.
Alban in 1813 in Gerbach. (See further under "St. Alban", page 17).
5. Christina Margaretha Dhom was born on May 26, 1792 and died in
1795.
6. Anna Maria Dhom was born on January 24, 1795 in Ruppertsecken and
died in Lohsfeld. She married Jacob Pfeiffer from Lohnsfeld (See my
writing: Michel and Jacobine Pfeiffer, page 12, as well as my writing, "Die
Sippe Kremb in Pfalz. Raum, Page 69").
7. Maria Elisabeth Dhom (1799 - 1854), married Johannes Dhom (1797
-1868) in 1815. See further news under Johannes Ruppertsecken (Page 53)
-15-
Notation
On January 8, 1781, Urban Thom (Dhom) of Ruppertsecken and Margaretha
Koch(in) (the wife of Urban Dhom), as well as Wendel Koch from Imsweiler,
appeared before the village court of justice. Margaretha Kochin received
from her dead parents an inheritance (land) in the district of Imsweiler,
which she now is selling.
For that, she received proceeds in the amount of 445 Gulden (an old form
of German money). These people signed as guardians or legal relatives:
Urban Dhom, Margaretha Dhom(in), Wendel Koch, and Jost Merck.
-16-
Conditions of the Estate of the Koch Family of Imsweiler
On studying a court of justice book of Imsweiler, a close determination of
the condition of the estate of the Koch family can be made. This example
generally demonstrates how the estate was put together and what it was worth.
This is how we know Urban Dhom of Ruppertsecken married Margaretha Koch of
Imsweiler and how also the relationship with the Kremb's was established. The
father, Johannes Kock, died in 1778. He was court of justice relative and
citizen of Imsweiler. His wife was Maria Catharina Steinmetz. The couple
had six children.
Of the total estate was in stock:
House and yard 500 Gulden (a form of German money)
Grassland 1111.-Gulden
Yard, garden 114.-
Acres 675.-
Cattle 475.-
Bees 6.-
Odds and ends 68.24-
Clothing 22.34-
Linen 81.49-
Bedding 151.-
Brandy 145.-
Pine 22.26
Cabinet Work 6.56
Baking Utensils 35.43
Household Furniture 8.31
Guns 4.-
Conferenda 1018.36
Ready Money 139.-
An Actives 210.-
The humble yard contains (consists of) living quarters, stall, barn,
winery, pearmill, brandykettle,and windmill. The property was enclosed by
public road, Miche Muller property, Kappeagarten, Valentin Denzer, and Jacob
Schneider, as well as by the rail path. The above information was taken from
Landesarchiv Speyer, Bestand A II Nr. 1220.
-17-
St. Alban
The third son of the married couple Urban and Margaretha (Koch) with the
name Philipp Peter (See Page 14, #4), in 1790 in Ruppertsecken, left his
home (birthplace) and settled in nearby St. Alban in Munstertal (Valley),
after which he married Maria Magdalena Berg from St. Alban. He lived from
1790 to 1864 and she lived from 1795 to 1857. The house is located where
Georg Dhom lives today. (See Page 67)
The couple, Philipp Peter and Maria Magdalena had five children, namely:
1. Johannes Dhom (1815 - 1881) remained single.
2. Elisabeth Amalie Dhom was born in 1817 and married Peter Braun in
Dornbach. (Further information under Dornbach, Page 25.)
3. Maria Magdalena Dhom (1820 - 1892) married Georg Doerr (1811 - 1868)
from Marienthal, where the couple also lived. The wedding took place on June
14, 1843 in Rockenhausen. From this marriage was born a son, Johannes (1844- 1907) who married Franziska Giehl (1840 - 1887) on November 5, 1868. She
came
from Russmuhle (sootmill). The parents of Franziska are Ludwig Giehl (1809-1875) and Anna
Margarethe Bescher from Bolanden (1805-1876). A son from the
marriage of Johannes and Franziska
was Georg, born on September
1, 1869 in Marienthal and died on February 16, 1938 in Regensburg. The
wedding took place on July 7, 1903 in Marienthal in Elsass with Maria Doll
(1876 - 1951) of Weingarten. From this marriage nine children were born,
whose representative, Ottilie Maria Doerr, furnished for me the above
contribution for this writing. She is engaged in the teaching profession and
lives in Unterpfaffenhofen vor Munchen. Her hobby: Extra sensory
perception, ESP.
4. Urban Dhom (1826 - 1900), the first marriage was with Katharina Golsun
(1832 -1857) from Schneckenhausen. From this marriage came two children,
namely Elisabeth, who remained single and Georg, who married Franziska Bobel
from Bolanden. (See further under Bolanden, Page 26). The second marriage
of Urban took place on February, 1859 with Gertraud Dhom from Weitersweiler.
She gave her Urban seven children, who were baptized with the following names:
Katharina--Johannes--Peter--Philipp--Helene--Amalie--August.
5. Philipp Dhom, the youngest child, was born in 1834. He married
Helene Schlemmer of the Wolfsmuhle of the parish Bisterschied, and acquired,
aroung 1850, the little mill in addition to farming in Marienthal. (See
Marienthal and Schleifmuhle, Page 29).
Remarks on 3:
The mother of Georg Doerr was Maria Elisabeth Grassstadter (1778 - 1841) and
whose mother was Christina Thom(in) from Ruppertsecken, who married Johannes
Grassstadter from Falkenstein.
There seems to be also a Dhom daughter, who is not to be found in my research.
It could be a sister of Urban Dhom. In the next generation, the baptismal
Christina Margaretha was given. In a future inquiry, this matter will be
mentioned.
-19-
St. Alban
In a second marriage, Urban Dhom (1826-1900), St. Alban, married
Gertraud Dhom from Weitersweiler. The wedding took place on February 23,
1859. Gertraud lived from 1832 - 1890. She lived ten years longer than her
husband. The couple could show a proud line of children:
1. Katharina Dhom (1860 - 1928) and Georg Storck (1857 -1934) lived
in Schneebergerhof. (See Schneebergerhof, Page 38).
2. Johannes Dhom, born in 1862, married in Germany, after which he
had learned the occupation of beerbrewer and traveled to Brazil. There is no news of him.
3. Peter Dhom (1854 - 1909) and Klara Strehl (1872 - 1929) from
Gingert. Further information under "St. Alban - and Peter and Klara",
Page 20.
4. Philipp Dhon (1866 - ) and Katharina Linn (1869 - 1920).
See under Alsenz, Page 32.
5. Helene Dhom (1870 - 1933) and Philipp Berg (1859 - 1936) lived on the Schneebergerhof.
(See also Berg, St. Alban, Page 35).
6. August Dhom (1876 - ) and Maria Berg from Jobesheim, married
in 1901.
(See under "Kreuznach", Page 33).
7. Amalie (1873 - 1886).
-20-
St. Alban - Peter and Klara
The son, Peter Dhom (1865 -1909), took over the operation of the farm
in St. Alban in north pfalzischen Bergland (highland), it is said of Delwe,
and married Klara Strehl (1872 - 1929) of Bingert (feilbinger). The couple
can show the following children:
1. Elisabeth Dhom (1895) married Albert Bumb (1895 - 1953) where the
pair ran a farming operation as well as a guest house. (See Schneebergerhof, Page 38).
2. Maria Dhom (1896) married Johannes Karch (1896) from Boreestadt.
(See St. Alaban - Borrstadt, Page 399).
3. Georg Dhom (197) married Christina Weihe from Wurzweiler (1905).
The marriage was in 1927 and the couple ran a farming operation in Delwe and had three children.
a. Elise Lydia was born in 1928 and married Franz Braun who was born in 1929 in Dornbach. They had (1) Winfried, born in 1961 and
(2) Elisabeth, born in 1962.
b. Frieda was born in 1931 and married Rudi Muller who was born in 1927 in Enkenbach. Their children: (1) Michael, born in 1959 and
(2) Georg, born in 1962.
c. Alwin was born in 1932 and married Gudrun Bescher who was born
in 1938. Their children: (1) Bernard who was born in 1962 and
(2) Johannes who was born in 1965.
4. August Dhom (1899 _ 1968) married Luise Nippgen, born in 1904.
They lived in Bischheim. August died childess.
5. Anna Dhom was born in 1900 and married August Buschmann who was
born in 1903. They lived in Schneebergerhof.
(See further under Schneebergerhof, Page 38).
-21-
6. Richard Dhom was born in 1902 and married Elisabeth Wiehe in 1930.
She is the sister of Christina Weihe (No. 3, Page 20). This couple had a farming operation in Wurzweiler and had four children:
a. Gisela married Oskar Glass in the town of Hambach-Neustadt.
Their children:
(1) Thomas
(2) Martin
b. Helmut was born in 1936 and married Hilde Besai. Their children:
(1) Hubert
(2) Christil
(3) Toni
c. Gunther Heinrich was born in 1937 and married Wilma Grogro who
was born in 1943 from Dielkerchen. Their children:
(1) Michael, born in 1970
d. Theodore Gerhard was born in 1945
7. Alwin, born in 1905, died in 1919
-22-
Ruppertsecken - Schweiler
The second son of Urban and Margaretha Koch from Insweiler was named
Johannes. Johannes Dhom was born in 1784 and married Gertraud (Gertrud)
Bidinger on 12 March 1811. Gertrud was from Russmuhle. She was born in
1789 and is the daughter of Johanness Bidinger and his wife Elisabeth
Geihl.
Johannes (1784 - 1866) and Gertrud (1788 - 1869) had the following
children:
1. Urban Dhom was born in 1813 and died in childhood.
2. Elisabeth Dhom (1814 - 1888) married second Christian Vollet from
Ruppertsecken. This marriage occurred in 1836.
3. Johannes Dhom (1817 -1883) married Christine Eichholtz from
Ruppertsecken in 1843.
4. Philipp Dhom (1820 - 1890) married Barbara Rhein from Wurzweiler in the year 1843.
5. Urban Dhom (1824 - 1888) married Katharina Buglar (Kuchler) from
Enkenbach in 1854. Their children:
(a) Elisabeth, born in 1857, single
(b) Johannes (1859 - 1860)
(c) Urban (1864 - 1897 in Kaiserslauten
(d) Katharina (1866 - 1934)
Notes to Johannes (No. 3): Johannes received the name Johannes the 3rd to distinguish
him between
the other Dhoms living in Ruppertsecken with the same first name. The children of Johannes the 3rd are:
(a) Philipp died as a child.
(b) Johannes (1845 - 1898) married Dorothea Eckert (1860 - 1913)
from Schweisweiler. Their children:
(1) Johannes (1884 -1966) was a landowner, single, and lived in Schweisweiler.
(2) Lulse was born 25 Jan. 1891, single and lived in Schweisweiler.
(c) Michael (1848 - 1921) became a religious brother in a cloistered
order in O-Osterrreich by Linz. (see Page 23)
(d) Elisabeth married Nikolaus Eckert.
-23-
Note to 3c (Michael)
According to Luise Dhom from Schweisweiler, Brother Michael was an
upstanding man, although somewhat short-sighted, and so it happened to
him one day, that he spoke to a black-clothed person on lthe street, in good
faith, he thought was one of his cloister brothers. However, he was amazed, when
he noticed, that it was a high class lady. The woman was so forward and
she could also discover some of his habits and so it was not hard, almost
accidentally (by chance so it seemed), to make this meeting take place
again.
Naturally, these conversations did not remain secret, they learned of it in the
cloister and also the Prior found out one day.
Now this Prior seemed to be a very friendly man, so he proposed that
the Brother Michael and the lady be married. She was the widow of a brewery
council member. However, Brother Michael was against this idea.
Now the Prior thought he must do his duty and took care that Brother
Michael was placed in another Kloster (cloister). The pretty widow, however,
soon found out about the new residence and traveled there shortly.
As also these meetings became known, Brother Michael was transferred
again, apparently this time to Linz in Oberosterreich. The new transfer
put an
end to the affair.
-24-
Remarks on 2
Elisabeth Dhom (1814 - 1888) and Christian Vollet married in 1836.
The son, Johannes Vollet, from this marriage, married in 1867 Magdalena
Dhom (1848 -1877) who was a daughter of Johannes Dhom and Magdalena
Fischer. She was the first wife of Johannes Dhom (1824 - 1905).
(See also under Dhom - Ruppertsecken and Stammtafel, Pg. 33).
Remarks on 5
Katharina Bugler (oder Kuchler) from Enkenbach is the daughter of
George Kuchler and Katharina Hemmer.
Remarks:
The first Miller on the Russmuhle from the 30 Years War was Johannes
Berg, whose youngest daughter, Anna Catharina, married Andreas Kremp.
After the death of Johannes Berg, the operation of the mill was turned
over to Johannes Bibinger.
Further details can be found in "Andreas Kremp and his Schleifmuhle".
-25-
Dornbach
Elisabeth Amalie, born in 1817 in St.
Alban as the daughter
of the couple, Philipp Peter Dhom and Maria Magdalena
Berg, and the eldest sister of
my grandfather, Philipp Dhom, married Peter
Braun from Dornbach, where the
pair managed a farming operation.
Of three sons from this marriage, the
eldest died after
a short marriage and the widow married her
brother-in-law. One of the sons, Jacob, remained
single.
The only daughter, Elisabeth, married Bartholomaus Scheuerer from Feilbingert,
who was a teacher in Dornbach
for a short time.
Representative for all who come after
is mentioned. Eugen Scheurer, who took over the farm in Dornbach
until his
death. He was married with Agnes Roos from Hintersteinerhof, born in 1914.
And again representative for those who
come after was Rita, born in 1939,
who married Gunther Koch, born in 1940,
from Dornbach. The children from this marriage are: (a) Brigitte, born 1964 (b) Judith, born 1968 (c) Esther, born 1972 Remarks: Peter Braun and Elisabeth Amalie Dhom
were responsible on the occasion The marriage of Amalie Dhom and Peter
Braun from Dornbach took place on June 10, 1860. Peter Braun is the son of Christian Braun
and Karoline Klein. -26- St. Alban - Bolanden Urban Dhom (1826 - 1900) married first
to Katharina Golsung (1832 - 1857) from Schneckenhausen.
of the rebuilding of the church in
Imsweiler in 1890 for a window,
which was located in the priest's choir.
The wedding took place in St. Alban in
1852. From
this marriage came two children. The daughter, Elisabeth, was born in 1854
mother died shortly after the birth of her son. Of this Georg shall I now speak.
There the Dhoms already had good relations in Weitersweiler. It is not
astounding that Georg found his first wife
there. She was Franziska Gobel, who
was born in 1859 and died in Bolanden in
1921.
The young pair settled down in
Bolanden and the marriage received three
daughters, so that the family name in
Bolanden lasted only one generation. However, the descendants of this couple are
still live today in Bolanden. Their children:
I.
Helene Dhom (1886 - 1958) married Karl Graber (1882 - 1944) from
Weitersewiler.
(a) Ludwig born in 1910 married Johanna Strack.
(1) Rainer was born in 1939 and married Edeltraud Forster.
They had Armin, born 1966.
(2) Heidrun was born in 1924 and married Herman Henkel.
They had Herman in 1967 and Kirstin in 1971.
(3) Thomas was born in 1949
(b) Maria born 1912 and married Willi Render
(1) Ulrike born 1943 and married Dietrich Brinkmann.
They had Oliver Patrik, born 1973.
(c) Otto (1916 - 1941) died in W.W. II.
(d) Karl was born in 1918 and married Else Feschl - no children
(e) Klara was born in 1923 and married Georg Fuss.
(1) Hans Otto, born 1948 and married Sieglinde Schwab.
(2) Reinhard, born 1950
(3) Martina, born 1957
-27-
II. Eliabeth Dhom (1889 - 1947) married Luitpold Burgey (1889 - 1943).
He was from Weitersweiler.
(a) Erich, born 1918, married Elfriede Henrich, born 1922
(1) Beate, born 1950, married Hugo Paul, born 1948
(2) Klaus, born 1951
(3) Gisela, born 1957
(4) Erhard, born 1959
(b) Erwin, born 1922, married Anne Kroneberger, born 1922 in
Boldanden.
(1) Rainer, born 1950
(2) Christel, born 1954
Erwin Burgey is a dialect poet and already with the first
participation in the Bockenheimer dialect contest was awarded first place. With each contest in which he entered, he received between second and fifth place.
His first attempt at dialect poetry began as a prisoner of war. He wrote more than a hundred poems and he intends to publish selections in a small book. Also, the radio has indicated its interest for his work. His poems will be published in Pfalzer Heimatbuch by Oskar Bischoff as well as in Pfalzer Heimatgruss and so he was discovered in Philadelphia by a missionary-sister,who introduces herself as his cousin. The poetic vein, so says Erwin Burgey, he has inherited from his grandfather (this was Urban Dhom from St. Alban).
Erwin Burgey says about himself: "Although I now for the twelfth time have entered the dialect contest, I still get stagefright when I deliver (say) my poem. At the first contest, I found out about these performances by accident. I will always take part in these contests. I enjoy writing poems".
-28-
III. Klara Dhom was born in 1894 and married Ferdinand Jung who was born in 1893 in Niedersimpten in the Kreis of Pirmasens.
(a) Eugenia, born 1928, married Franz Josef Weiss, born 1933 in Worms
(1) Gregor Josef, born 1958, in Worms
(b) Irmgrad, born 1932 in Grossneiderheim, married Gunther
Wilhelm
Josef Kalt, born 1935 in Worms.
(c) Rainer Josef, born 1935 in Odenbach/Glan, married Christine
Maria
Lautenpchlager, born 1942, in Mainz.
(1) Michael Rainer, born 1971 in Worms.
I have visited in the home of Klara and Ferdinand Jung in Worms and I have received this material from them for this script.
-29-
Marienthal - Schleifmuhle
The youngest son, Philipp, born 1834, is the child of Philipp Peter
Dhom (1790 - 1864) and his wife, Magdalena Ber (1795 - 1857). She was from St. Alban.
Philipp settled himself in Marienthal and began making himself a
living; he then married Helene Schlemmer from Wolfamuhle in the Germunde of Bisterschied. There, in Marienthal, he ran a small saw mill with a
farming operation. Philipp Dhom lived from 27 April 1832 until 1 March 1915.
His wife Helen lived from 15 August 1832 until 8 May 1889. Both of them died in home in Marienthal. In Marienthal, five children saw the light of the world:
A. Johannes (1860 - 1934) married Emma Schneider (1870 - 1944) in
Feilbingert and lived in Marienthal.
1. Elisabeth (1897-1965) married Heinrich Scheidel (1899- )
from Katzenbach
(a) Luzia was aborn in 1926 and married Willi Sohner who was
born in 1925.
(1) Ernst, born 1959
(2) Brigitte (1963 - 1964)
(b) Ernst (1936 - 1959) died in an accident.
2. Ernst (1904 - 1972 married Katharina Stollhof, who was born
in 1910.
(a.) Hermann born in 1943
(b) Marliese born in 1944
Both lived in Ruppertsecken
3. A son, Jacob, died at a young age.
B. Magdalena (1865 - 1946) married Heinrich Braun from Ransweiler
where the couple ran a farming
operation. The only son of this marriage
is Jakob
(1891 - 1963) who was married with
Mathilde Novis from Ranwwiler
(1894 - ). Their daughter, Cacilie, named Cilly (1925) married with
Rolf Dieter Erlenwein (1930). Their daughter is Gabriele Elfriede (1955).
Son Ernst (1921 - 1942) died in W. W. II.
-30-
C. Frieda (1873 - 1901) married August Baum from Muhlbuscherhof,
Gemeinde Borrstadt; they operated a farm with daughter.
1. Susanna (1897 - ) married Eugen Scheu (1896 - 9130).
(a) Else, born in 1925, married Otto Scholl (1913 - 1973).
(b) August, born in 1927, married Margaretha Jelomek, who was born in 1935.
(1) Norbert, born in 1969
(2) Arno, born in 1971
2. August, born in 1899 in Muhlbuscherhof, married with no
children.
D. Jakob (1 Sept. 1866 - 10 Dec. 1940) was born in Marienthal and
died in the Schleeifmuhle in the Gemeinde of Imsweiler. Jakob learned the
millers trade and married the heiress of the mill, Anna Helen Philippine Kremb
from the Schleifmuhle. This couple had three sons:
1. Emil, born 3 Dec. 1904, overtook after the end of W. W. II,
with his family, the Schliefmuhle. He is married to Emilie Antonie
Bernhardine Schweitzer from Gelsenkirchen. The marriage was
sealed 23 Jan. 1937 in the town of Bittersfeld. The couple lived
in Jessnitz in Anhalt from August, 1937 until shortly after the end
of W. W. II. The only daughter of this marriage is Hildegund
Dorothee who married Edgar Andre Imbschweiler. During the time of Immigration, his parents removed themselves to Paris and he was born there on 24 June 1937.
This couple has three daughters:
(a) Sibylle Michaele (1961)
(b) Constanze Andrea (1963)
(c) Natascha Marliese (1965)
Andre Imbschweiler ran a plaster operation where he lived and found
himself in the Schleifmuhle.
2. Hermann (1907 - 1944) head miller, died in W. W. II in
Rumanien.
3. Walter (1914 - 1923)
-31-
E. Elisabeth married Johann Scheuer from Ilbesheim and lived in
Ilbesheim in the Kreis of Kirchheimbolanden. The husband operated a
pluming (sheet metal) business and also a farming operation.
1. Katharina
2. Johannes
Both children are dead and so ends the line of Elisabeth.
-32-
Alsenz
One of the sons of Urban Dhom (1826 - 1900) and his wife, Gertraude
(1832 - 1890), in St. Alaban was Philipp, born in 1869 - 1920 in Alsenz.
This couple decided to make their home in Alsenz.
1. Georg (1893 - 1916) sied in W. W. I. He married Magdalena Muller
(1892 - 1968) from Alsenz. Th only daughter, Paula who was born in
1913, married Otto Freyer, born 1907, in Grossteinhausen. The pair
lived in Alsenz where also the only daughter, Christel Ingrid, was
born in 1938. She married Dr. Albert Heitzmann, born 1920, from
Kaiserslautern.
Also, this young couple had their home in Alsenz (in the house of the
parents-in-law).
(a) Martina (1960)
(b) Thomas (1963)
2. Adam (1896 - 1955) married Hedwig Greth from Kalkofen. The family
lines began in Neidermoschel. Hedwig was born in 1898. The
daughters of this marriage are:
(a) Ruth (1931) married Walter Schneider (1927)
(1) Hubert (1956)
(2) Mathias (1959)
(3) Ursula (1965)
(b) Anni, born in 1932, remained single and stayed in her
parents' house in Alsenz.
Adam Dhom and his family ran a farming operation in Alsenz. The house in Alsenz was built by Philipp Dhom *1868 - 1944) as can be seen by the inscription on (above) the door.
-33-
Kreuznach
The youngest son of Urban Dhom (born 23 May 1826) and his wife,
Gertrude Dhom (born 16 Dec. 1832), was baptized with the name August. He
was born 13 August 1876 in St. Alban. He married Maria Berg from Ilbesheim.
She was born on 13 March 1879 and is the daughter of Philipp Jakob Berg,
born in Ilbesheim on 29 April 1827 and died there on 6 April 1908.
Philipp Jakob Berg married Elisabeth Dhom, born 6 Jan. 1853 in Russmuhle and she
died in Ilbesheim on 18 March 1879. The parents of the grandmother on
the father's side are Johann Philipp Dhom (1806 - 1880), who was a farmer in
Weitersweiler and his wife, Katharina Franbach (1808 - 1889) was from
Weitersweiler.
After this short digression into the past, back to August and Maria
(Berg) Dhom.
This couple had a total of ten children. A son died at the age of
six weeks.
1. Philipp Jakob was born 26 June 1902 and married Else Wagner who
was born 17 October 1904. They married 24 Nov. 1928. They lived in
Bad Kreuznach on Richard Wagner Street # 49.
Their children are:
(a) Annemarie
(b) Lothar
(c) Trudi
(d) Heinz
(e) Brigitte married Jost Altenbamberg
2. Peter (1903 - 1970) married Elisabeth Fuchs and lived in Bad
Kreuznach with two sons:
(a) Willie married ?
(1) Jurgen
(2) Ursula
(b) Helmut
3. August was born 5 Feb 1906 and married Gisela Wanzik who was born
in 1927. The marriage was on 3 August 1946.
(a) Daniel, born 2 Sept. 1953, living in Canada - California.
-34-
Kreuznach
4. Georg, born 21 Jan. 1908, married the widow Clara Volker born
Wagner 17 Aug. 1898. They married 8 June 1946 and live in Bad
Kreuznach on Leddershoseweg-Weinstube.
5. Otto was born on 3 March 1909 and married on 2 October 1932 to
Maria Grunewald.
(a) Lieselotte
(b) Urban
(c) Ludwig
6. Alois was born 27 January 1911 and married on 2 October 1932
Franziska Schmussing from Koln-Herleshausen.
(a) Sigrid
7. Wilhelm was born 16 November 1913 and married Anna Fiskus from
Colln Bayerfeld. They married on 5 November 1938. Wilhelm died in
W. W. II on 15 July 1944 in Normandy.
8. Gertrud Elisabeth was born on 1 August 1920 and married on 21
June 1943 to Heinrich Stockfisch from Urdinger-Krefeld.
(a) Heinz was born 3 September 1945
(b) Hannelore was born 2 March 1948
9. Paul Urban was born on 25 June 1927 and married on 14 May 1949 to
Ruth Berg from Schneebergerhof. She was born 2 May 1927. This
couple operates a wine processing business in Bad Kreuznach, Birkenweg 4.
-35-
Berg St. Alban
This couple, Helene Dhom and Philipp Berg, born in Scheebergerhof
From St. Alban, had three sons and two daughters.
I. Jakob (1893 - 1969) married Mathilde Heitzmann, born in 1895 in
Weilerbach, and they lived in St. Alban with three daughters.
(a) Gertrud, born in 1920, married Anton Dahl from Altheim by
Zweibrucken. They lived in Altheim with four children.
(b) Klara, born in 1922, married Albert Bold from Hermersberg.
They lived in St. Alban with daughter, Renate. Renate moved to and
married in the U. S. A. Klara and Albert's son, Gunther, married
Margit Hohn from Wurzweiler and lived in Rockenhausen-Hofacker.
(c) Apollonia, born in 1925, married Jakob Dahl, the brother of
Anton
Dahl (See above) from Altheim with three children.
II. Alfred, born in 1909, married Barbara Stay, born in 1911 in the
town of Schopp and lived in Schopp.
(a) Walter, born in 1936, married Anni Fickeisen from Bad
Durkheim.
(b) Karl, born in 1940, married Barbel Lehmann from Stelzenberg.
(c) Alfred, born in 1943, married Irne Sager from Rudesheim.
(d) Irmgard, born in 1951, married Peter Knobloch from Schopp.
-36-
III. Ernst (1903-1957) married Elisabeth Braun from Schneebergerhof
with four children.
(a) Karl, born 1929, married Rosel Geis, born in 1927 from
Ludwigschafen, with a daughter and two sons. They were born in
1955 - 1961.
(b) Lydia, born in 1930, married Ottmar Wilding, born in 1928,
from Gerbach, with five children;
1. Doris, born in 1934, married Wener Bieger from Gerbach.
2. Eugenie, born in 1955.
3. Christel, born in 1956, married Hubert Muller from
Katzenbach.
4. Franz, born in 1958.
5. Edith, born in 1962
The family Wilding lives in Rockenhausen on Kapellenbergstrasse.
(c) Hilaria, born in 1932, married Herman Stork from Schneebergerhof.
1. Robert, born in 1954.
2. Beronika (1955 - 1963).
3. Maria, born in 1957.
(d) Gertrud, born in 1937, married Alexander Stollhof from Ruppertsecken
and lived in Ruppertsecken.
1. Petra, born in 1959
2. Thomas, born in 1964
-37-
IV. Elisabeth (1895 - 1957) married Anton Harrer from Kevenhull in the
Oberpfalz. He followed the occupation of a policeman and carried out
his duties in Waldmohr, Borrstadt, Imsweiler, Alsenz, and Enkenbach,
Where he died at the age of 60 years. Children of this marriage:
(a) Anna, born in 1920, is a teacher in Enkenbach.
(b) Ernst, born in 1922, was a soldier, listed as missing in W.
W. II.
V. Emma married August Krauss from Enkenbach. He died in W. W. II.
(a) Liesel, borh in 1937.
(b) Raimund
-38-
St. Alban - Schneebergerhof
The Schneebergerhof is an outstanding piece of property located on a
hill between St. Alban, Gerbach, and Kriegsfeld. The young ladies,
Elisabeth, Maria, and Anna, (see page 20) sought for themselves the young brothers
from Schneebergerhof for their Sunday visits to church in Gerbach.
Katharina (1860 - 1928) married Georg Stork in 1882. He lived from 1857 - 1934.
Also, the next generation from the Schneebergerhof is represented.
Elisabeth (1895 - 1967), the first daughter of Peter and Klara (Strehl) Dhom from St. Alban, was married to Albert Bumb in 1920. Albert lived
1895 - 1933. The only son of this marriage was Albert, born in 1928. He
married Anna Blaum, born in 1932.
a. Marianne (1954)
b. Elisabeth (1957)
c. Verena (1960)
d. Michael (1963)
After the death of Albert Bumb, Elisabeth married a second time to
Ludwig Mayer from Orbis (1894 - 1961).
Elisabeth's sister, Anna, who was born in 1900, was taken from the farm
by August Buschmann, born in 1903.
Anna's three daughters are:
(a) Rosa Klara was born in 1929 and married Franz Jakob Kohr
from Ruppertsecken. They had three daughters.
(b) Maria was born in 1931 and married Alois Kohr, borther of
Jakob Kohr, (above). They had two sons.
(c) Irene was born in 1933 and married Hans Willenbacher. They
had one son and one daughter living. One little girl died in
childhood.
-39-
St. Alban - Borrstadt
The second daughter, named Maria, was born in 1896 and married the
landowner Johannes Karch in Borrstadt.
Thier children:
1. Elizabeth, born in 1928, single.
2. Anna, born in 1924, married Fritz Willenbacher (1908 - 1960).
Their children:
a. Maria, born in 1949
b. Hans, born in 1962
c. Rosel, born in 1959
The family lives in Neunkirchen-Mehlengen.
3. Georg married Mathilde Wohninsland in 1928.
She was from Dirmstein. Their children:
a. Gerd, born 1955
b. Liesel, born 1958
c. Georg, born 1956
The family lived in Borrstadt.
4. August, born 1928, single
-40-
Ruppertsecken
The youngest son of Urban Dhom (born 1682) and his wife, Maria Agnese,
was baptized with the name Johannes. He lived from 1729 - 1804 in
Ruppertsecken. He married Anna Margaretha Braun (in) from Rockenhausen.
Her father was Andres Braun from Rockenhausen. They were married 26
Feb. 1751 and had the following children:
1. Petra, born 14 April 1762
2. Johann Philipp (1763) - 1841) married Elisabeth Doerr . She
was born in 1752 [and lived until] 1838 and married in 1793. See page 42.
3. Johannes was born in 1766. He was called the Junior.
See Russmuhle, page 43.
4. Peter was born 1767.
5. Anna Margaretha was born 29 Jan. 1769.
6. Catharina (1773 - 1784)
7. Barbara (1777 - 1831) married Peter Schneider.
Their children:
Johannes (1806 - 1813)
Johann Jacob, born 1814
Catharina, born 1817
From the family of Carl Schneider and Philippine Dhom a son was born
born named Ernst Schneider from Weitersweiler. He married Hedwig Rick
from Ruppertsecken. Hedwig Rick was born in 1904, the daughter of Peter
Pick and Catharina Dhom. Peter Rick married Catharina Dhom in 1904.
Peter Dhom (1815 - 1888) married Catharina Schneider. Thus ends inform-
ation of the family Schneider.
8. Anna Maria (1777 - 1779)
-41-
And now some news of Johannes. He lived from 1729 to 1804. He was
the mayor again in 1778. During his time in office, there was a quarrel
over the zoning which was brought to an end during his time in office.
In 1794, he appeared as the head administrative officer. His time
in office ended with the decree of Dec. 17, 1797, after which the office of mayor
was ended. He died at the age of 75.
During these days, the people lived very close together due to the
fact that there was not much room and property lines were always questioned.
Johannes lived with the bickering and hatred of all his neighbors. He
wrote letters to the town of Erbesbudesheim to the head administrative office.
To end this fighting, the people made borders of stone to divide each
person's property, thus ending the fighting.
Widersacher were:
Johannes Zepp
Johannes Lotz
Philipp Lotz
-42-
Johann Philipp Ruppertsecken
Johann Philipp lived from 1763 - 1841. He married Elisabeth Doerr
(in) 1793. She was born in 1752 and died in 1838. Her family probably orginated
from Marienthal.
This couple had the following children:
1. Philipp, born 6 October 1795. No information about him is known and he probably died as a young child.
2. Johannes, born in 1797, carried on the tradition in Ruppertsecken.
Therefore, in this chapter, I shall write about Johannes and
Elisabeth.
3. Johann Philipp was born 21 Oct. 1798 and died in 1875. He married
in 1822 to Elisabeth Doerr (1804 - 1870).
From this marriage came 7 children:
(a) Heinrich (1825 - 1901) married Margaretha Stollhof from
Ruppertsecken in 1857.
(1) Johannes was born in 1863 and married
Franziska Klag=Gollheimer Hauschen.
(2) Philipp (1865 - 1870)
(3) Margaretha was born in 1866, and
married Jacob Fischer from Falkenstein.
(4) Elisabeth was born in 1874.
(b) Catharina (1828 - 1870) married Urban Dhom (male cousin)
(1) Margaretha was born in 1852 and
married Andreas Blumers, a farmer
in Erbesbudesheim. He is the son
of Jacob Blumers (miller) and
Elisabeth Herberg. The couple
undertook the Reidmill in
Albisheim.
(c) Margaretha (1831 - 1898)
(d) Elisabeth, born in 1840, married Michael Stollhof.
(e) Johann Philipp, born 1835
(f) Eva, born 1844, married Philipp Hack (cop) 1873.
(g) Young girl died as a small child.
4. Anna Maria (1801 - 1805)
-43-
Russmuhle
Johannes Jr., born in 1766, found
himself a fitting wife from the Russmuhle. She was Maria Elisabeth Bidinger.
With this marriage, Johannes became the miller in the Russmuhle.
Their children:
(a) Jacob, born in 1797, married Eva Kuchler in 1818.
(b) Elisabeth, born in 18901, married Johannes Giehl from nearby
Auskunfte. [See under Russmuhle, page 45]
(c) Urban (1803 - 1884) married Eva Frambach (1806 - 1892).
(d) Johann Philipp (1806 - 1880) married Katharina Frambach from
nearby Ausfuhrungen.
[See under Weitersweiler, C, page 48, and D, page 49]
A. Jacob was born in 1797 and married Eva Kuchler from Weitersweiler, in
the year 1818. They built the Russmuhle again as can be seen by the
inscription on the door which is still in good shape today. The miller's
heir is again a Jacob, born 1824. He married Anna Maria Rein from the neighboring
Wurzweiler. A sister of Anna Maria, whose name was Catharina, married
Peter Neurohr.
Now the five children of Jacob and Anna Maria (Rein) Dhom:
Friedrich (1856 - 1898) was born in Russmuhle and died in Weiters-
wieler where he, with his wife Katharina Dhom, (1864 - 1917) ran a farming
operation.
Their children are:
(1) Jacob, born 1891, married Maria Magdalena Allaman from Silz.
She was born in 1892 and had twins, Anneliese (1919 - 1920) and
Heinz (1919). Heinz today lives in Ludwigshafen with his wife,
Ingeborg Kutscheit, born in 1925.
They have three sons:
(a) Karl- Heinz (1948 - 1950)
(b) Gunther, born in 1950, married Marianne Nuttel, born in 1949.
(c) Peter (1951)
In this family belongs, therefore Magaretha, born in 1895,
married ? Neunzling. The family lived in Frankfurt/Schwanheim.
(a) Son Jakob lives in the Russmuhle with a daughter.
(b) Sister Katharina married Philipp Reis in Elbisheimerhof.
(c) Sister Maria married Georg Osterroth in Ottersheim and
finally Philippine married Johann Demmerle from Borrstadt.
-44-
Between remarks
Johannes (See again "the Junior"), son of Johannes in Ruppertsecken
and Margaretha. Margaretha is the daughter of Andreas Braun from Rocken-
hausen. Johannes was, in the year 1794, engaged to Elisabeth Bidinger
(in).
She is the daughter of Johannes Bidinger. He died and left behind a
widow.
Witnesses were the father of the bridegroom, Johannes Dhom, and the father
of the bride, Georg Giehl, from the Russmuhle.
Philipine Dhom, born in 1864, daughter of Jakob Dhom and Anna Maia
Rein, married Johannes Demmerle from Borrstadt.
There are four children:
(a) Sebastian (1889 - 1915)
(b)
Karl (1894 - 1915)
Both died in W. W. I.
(c) Anna Maria (1896 - 1897)
(d) Jakob (1897 - 1968) married Anna Hofrichter from Borrstadt.
(1) Hans (1920 - 1937)
(2) Fritz (1922 - ) married Hewig Vogel, born in 1924.
(a) Beate (1954)
(b) Walter (1955)
(c) Sylvia (1957) ran a sawmill and transport undertaking
operation in Sippersfeld.
(d) Eugenie (1926) business lady (wife in Alzey)
(e) Karl (1919)
(f) Albert (1935)
Jakob Emmerle was a long time politician, mayor of Borrstadt,
representative of the city council as well as a member of the board and was on the
state assembly.
Now ends the news from Russmuhle:
Jahonn Jacob Dhom, miller from the Russmuhle, born 1799 and died on
2 Nov. 1845. His wife, Eva Kuchler, from Weiterswiler was born in 1800
and died 13 June 1863.
Their son, Johann Jacob lived from 15 April 1824 until 12 April 1887
and his wife, Anna Maria Rien from Wurzweiler, lived from 2 Sept 1822 until
27 Dec 1901. The marriage took place on 17 Feb. 1849 in Marienthal.
Anna Maria Rein is the daughter of the married couple, Georg Anton
Rein from Wurzweiler and Catharine Thom from Katzenbach, the youngest daughter
of Dionysius Thom and Catharina Bappert.
-45-
The Russmuhle is a very old settlement, which during the 30 years war,
was destroyed. Johannes Berg concerned himself with the successful
resettlement of the Russmuhle.
His widow married a second time with Leonhard Giel, who came from a
foreign country.
The descendant of Johannes Berg, as miller, was Johannes Biblinger.
This family lived, for a long time, next to the Geihl's from the
Russmuhle.
Each of the descendants of Leonhard Geihl still live on the Sussmuhle
today.
To the story "Dhom-Russmuhle" is still added an additional child of
Jacob Dhom and Eva Kuchler-- child, Ludwig (1840 - 1864), who
married Eva Gobel from Weitersweiler. The marriage was (in) 1863. Eva Gobel
was the daughter of Georg Gobel and his wife, Appolonia Schultz. The
daughter, Elisabeth from the Russmuhle, was married to Fredrich Schults
in 1847. After Elisabeth's death, Friederich again married, this time to his
sister-in-law, Philippine Dhom, the daughter of Jakob and Eva Kuchler
Dhom.
About 1900, the small mill property and the farm were sold. The present
running version of this seems to have very different sounds.
Relatives should still live in Lautzkirchen-Saar, although the timely
undertaking of the search is not possible for me to do.
B. The only daughter of the Russmuhle, with the name Elisabeth,
(born 1801) married Johannes Giehl and their daughter also received the name
Elisabeth (1827 - 1882). She married Johann Adam Willenbacher, who died
in 1906. A son of this marriage received the name Jakob (1857 - 1929).
He was also married and a child by the name of Johannes was born in 1903 who
married Pauline Kaufhold. Pauline Kaufhold belongs to the family of Urban
Dhom and Eva Frambach in Weitersweiler.
-46-
The children of the marriage are:
1. Maria was born in 1927 and married Kurt Rocker,
born 1928, from Katzenbach.
a. Maria, born 1960
b. Stefan, born 1956
c. Mathia, born 1954
2. Alois, born 1930, married Berta Deerchs,
born 1929.
a. Roland, born 1958
b. Monika, borh 1965
3. Herbert, born 1932, married Edith Baldauf,
born 1927.
a. Thomas, born 1959
b. Andreas, born 1963
Notes to 1
Kurt Rocker is a politician, representative of the state assembly and
on the board of the state, as well as president of the organization,
"Deutscher Wald".
-47-
Weitersweiler
Both villages, Weiler-Dorfer and Weitersweiler, received their names
from Adeligen. Weitersweiler is the village of a Withari. In the years of
the 1200's, the name is written Widderswilre from which Weitersweiler came.
In the village stands a chapel dedicated to Saint Bartholomaus for
which the Knight Heinrich of Morsbach drew a painting of a mass in the year
1317.
In 1707, the Pfarrer (head priest) of Dreisen moved to Weitersweiler.
Weitersweiler was the only estate of today's deacon church home in
Bolanden
in which the Reformation did not bring about.
Remarks
The church books were managed from 1698 - 1798 and then from 1806.
The church books were photographed and are kept in the Diocessan Archive
in Speyer. The Gerbacher church books were from 1789 and the ones from
Ruppertsecken from 1921.
-48-
C. The son, Urban from the Russmuhle (1803 - 1884), married Eva Frambach
from Weitersweiler (1806 - 1892). She established, in the year 1886, a
short street in her home town.
From this marriage are three children known:
1. Eva (1831 - 1871), probably single
2. Barbara (1835- 1881), probably single
3. Jakob (1846 - 1871) married Barbara Karlin from Morsfeld.
From this marriage was born an only child, Gertraude (1871 -
1949), who married Balentin Kaufhold (1860 - 1914). The
daughter of this marriage is Pauline, born 1901, and she
married Johannes Willenbacher from Russmuhle.
(See also the Russmuhle, page 46).
In another place is already mentioned Christian Dhom, born 1834.
He is the son of Johannes and Eisabeth (Dhom) Dhom in
Weitersweiler and had the name Christian I. He married Catharina
Dhom, the daughter of Philipp Dhom and Catharina Frambach.
Catharina Dhom (1838 - 1890).
I. Christian Dhom was a farmer in Weitersweiler.
Children:
1. Margaretha Dhom
2. Friedrich Dhom
3. Karl Dhom
4. Christian Dhom
II. Katharina Dhom, wife of Friedrich Dhom
who was a farmer in Weitersweiler.
III. Elisabeth Dhom, wife of Georg Arneth,
who was a farmer in Gundheim.
IV. Johannes Dhom was a baker in Weitersweiler.
-49-
The Dhoms became established in the beautiful town of Weitersweiler
through marriage.
D. Johann Philipp, son of Johannes Dhom and Elisabeth Giehl-Bidinger
(1906 - 1880) married to Catharine Frambach on 20 July 1 892. She is
the daughter of Adam Framabach and Gertrud Ruckert.
(1) Adam was born 14 June 1830 and died 18 Feb. 1895.
(2) Gertraude (1832 - 1890) married on 23 Feb. 1859 to the widower
Urban Dhom, from St. Alban. (See also St. Alban, page 19.)
(3) Elisabeth (1835): no info known.
(4) Catharina (1838) married in 1863 to Christian Dhom from
Ruppertsecken, who was born in 1834. He is the son of Johannes
and Elisabeth (Dhom) Dhom. His brother was Philipp Dhom.
(See page 57).
(5) Barbara (1824 - 1869) married Adam Schindler from Rodenbach.
And now back to #1, Adam (1830 -1895). He is responsible for the
Dhom line in Weitersweiler. He married Catharina Mattern from Stetten
(1836 - 1921). The marriage occured 8 Feb. 1863. She is the daughter of
Johannes and Maria Eva Schwartz. From this marriage a son was born with
the name Christian. Already in this town lived a Christian, so the younger
Christian received the # II. Christian II (18 July 1873 to 12 Dec. 1940) married
Katharina Wassner (1877 - 1934) who origniates in Dreisen.
(a) Otto (1898 - 1962) married Maria ? They lived in Saarbrukken on
Mararethenstrasse 27.
(b) Eugen an undertaker, married Margaretha ? and lived in Mossingen-
Wurttenberg on Holderlin Street 5.
(c) Alfred (1902 - 1967) married Katharina Weber.
(1) Ria married ? Berges lived in 6501 Dexheim.
(d) Arthur (1903) married Rose Greuer, born 1907 in New York City
with son Arthur, born 16 Sept. 1939, who married Betty Williams, born
1939 in Brooklyn, New York, and died on 23 Nov. 1971.
-50-
(a) Arthur, born 1960
(b) Robert, born 1962
Arthur, born in 1939, married second to Dianne Valder, born 1
July 1949 in Des Moines, Iowa. To contact this family, write to Mr.
Arthur W. Dhom, 10 Serene Ct., Dix Hills, New York, 11746. The
father born (born 1903) lives in Pennsylvania.
(e) Laura (1905 - 1961) married August Kuhner born in Berbach by
Saarbruken.
(f) Ena, born 1906
(g) Alfons, born 1908, married Erna Throm, born 1914, from Weiter-
sweiler. She was the owner of a farm in Weitersweiler.
(1) Ingrid, born 1941, married Erwin Gobel, born 1938.
(a) Michael, born 1971
(b) Tanja, born 1973
(2) Ursula, born 1947, married Bernhard Schmitt, born 1947.
(a) Stefan, born 1968
(b) Judith, born 1970
(c) Johanna, born 1974
(h) Karl, born 1910, married first Gerda Witter, born 1911 in
Kothen-Anhalt.
(1) Klaus, born in 1941 in Kassel, is at this time single.
Karl married second to Renate Haufe, born 1924 in Schkeuditz in the
Kreis of Leipzig. They lived in Munchen 21, Ilmunsterstrasse 4.
(i) Elisabeth, born 1916, married Alfred Kruggel in Berlin-Spandau,
Ackerstrasse 5a.
-51-
Notes
We lived almost door to door and didn't have any idea about it and I
thought for you Sachaen/Anhalt would be about like "it's greek to me". In
any case, I lived only until 1940 in Kochen. Then I was transferred to
Kassel. My wife's family comes from Dresde. She comes from Schkeuditz where I
was after the war until my flight to West Berlin where I was employed as a
super.
-52-
Felsbergerhof
Of the three sons of the married people Johannes and Margaretha Braun
from Ruppertsecken stayed the oldest son,
Johan Philipp (1763) - 1841) in Ruppertsecken,
where he ran the farm he
got from his parents.
The son, Peter (1767 -1837), married Elisabeth Broschardt from
Felsbergerhof in the Gemeinde of Insweiler.
Here on the Felsbergerhof are very beautiful fertile and plain fields
so that the agricultural work is productive. Elisabeth Broschardt lived from
1764 - 1836. Peter married her in the year 1784.
1. Urban was born April 16, 1785. His Godparents were Urban and
Margaretha Dhom from Ruppertsecken. He married first to Gertraude Muller
and second he married Maria Caroline Muller (probably a sister of his
first wife) on 2 April 1828. The second wife is the daughter of Peter Muller
and his wife Carlotte Stadtmuller (city miller). The daughter of this
marriage is Elisabeth, who married Michael Broschardt in 1840. Urban had a total of
six children, five of which are known. Besides Elisabeth, Urban also had
Urban, Peter,, Valentine, and Franz Jacob (1832 - 1834).
We have, in the last few months, made contact with one of the des-
cendants of Elisabeth (Dhom) and Michael Broschardt. The lady's name is
Nell Broschardt, who lives RfD. 2, Dushore, Pa. Urban, born 1785,
migrated to America and the Dhoms in Germany lost all contact with him.
He settled in the Sullivan Co. Pennsylvania area.
2. Maria Barbara, born 6 June 1788; her Godmother was Barbara
Graff from Imsweiler.
3. Anna Margaretha was born 5 May 1792. Her Godmother was
Margaretha Dohmen from Ruppertsecken.
4. Anna Elisabeth was born 14 Dec. 1795. Her Godmother was
Margaretha Benz from Imsweiler.
5. Peter Heinrich was born 10 July 1798.
6. Michael Valintine was born in 1801 and married Anna Elisabeth
Schultz.
7. Katharina (1804 - 1858)
-53-
Notes to #1, Urban:
Caroline Dhom died on 20 April 1833 when she was 37 years old, there-
fore born in 1796.
The mother-in-law of Peter Dhom was Veronica Bertram, the wife of Noe'
Broschardt. Veronica was also the daughter of the late ? Bertram from
Ebernburg.
Peter Muller and his wife, Charlotte Stadtmuller, originate from
Heinzenhausen by Kaiserslautern.
Johannes and Elisabeth
Johannes is the son of Johann Philipp (1763 - 1841) and Elisabeth
Soerr (in) (1752 - 1838), who married 1793.
Elisabeth Dhom (in) is the daughter of Urban Dhom (1754 - 1833) and
his wife was Mararetha Koch (in) (1762 - 1840) from Imsweiler. They mar-
ried in 1780.
The couple, Johannea (1797 - 1868) and Maria Elisabeth Dhom (1799 -
1874), daughter of Urban and Margaretha (Koch) Dhom, married in the year
1815 and had five children:
A. Urban, born 1820, married Katharina (1828 - 1857). They married
in 1849. Katharina is the daughter of Johann Philipp Dhom (1798 - 1875)
and Elisabeth Doerr (1804 - 1870).
1. Margaretha was born 1852 and married Andreas
Blusmers from Erbesbudesheim.
2. Elisabeth (1853 - 1853)
3. Philipp (1854 - 1855)
4. Christian (1856 - 1856)
5. Eva (1860 - 1861)
From this family only one daughter lived. See also Johann
Philipp - Ruppertsecken, page 42, 3b.
-54-
B. Johannes (1824 - 1905) first married Margaretha Fischer (1827 -
1848); daughter Magdalena (1848 - 1877) married Johann Vollet from
Ruppertsecken.
Johannes married second to Christine Doerr (1817 - 1891)
1. Christian (1853 - 1927) See under Christian Rupperstecken,
page 55.
2. Johannes (1854 - 1919) married Maria Lang. See again
under Bitsch - Muhlbach in Bruch, page 58.
Notes to B 1st marriage:
Johannes Vollet (1867) is the son of Christian Vollet and Elisabeth
Dhom.
3. Katharina (1857) married Konrad Bossong.
See Bitsch - Mulbach, page 60.
4. Heinrich (1858 - ). See Homburg-Saar, page 61.
C. Philipp (1829 - 1890). See Speyer, page 57.
D. Christian (1834 - ). See Weitersweiler, page 48.
E. Margaretha (1836 - 1862) married Johannes Fischer from
Bastenhaus were he operated a farm. Margaretha married in 1861
and died in 1862.
-55-
Christian Ruppertsecken
Christian (1853 - 1917) was born in Marienthal because his mother
was from there. Christian later lived in Ruppertsecken wher he also died.
His first marriage in 1877 was with Wilhelmine Philippine Stollhof from
Wurzweiler. The second marriage was with Katharina Ostermayer from
Teschenmoschel. She lived 1858 - 1921.
The couple had ten children:
1. Katharina, born 1880, married Rieck.
2. Anna Maria, born 1884, no children.
3. Heinrich, born 1885, married Emma Baumann.
4. Philipp, born 1887.
5. Friedrich, born 1889.
6. Pirmin, born 1891
7. Philippine, born 1896.
8. Robert, born 1900 and died 1972.
9. Elis, born 1902, and married ? Frey.
10. Tina, single.
Notes to # 3: Heinrich (1885 - 1917) died in W. W. I. He was
married to Emma Baumann from Steckweiler.
1. Maria, born 1909, married Robert Wolf
from Alsenz. He died in W. W. II.
They had 3 children.
2. Alois, born 1911, lived in Ungstein with sons.
3. Elisabeth, born 1913, married Ludwig Raidl
in Maikammer with 3 sons.
4. Otto, obrn 1914, lived in Wollsach by Munich
with one son and one daughter.
5. Heinrich, born 1917, died in W. W. II, no
children.
6. Karl, born 1919, died in W. W. II, no
children.
Notes to #4: Philipp, born 1887, lived in Rheinland in
Oberboinghausen with five sons and five daughters.
-56-
Notes to # 5: Friedrich, born 1889, the senior of today's Dhoms,
lived in Ruppertsecken where earlier he operated a farm and was the
mayor of Ortsburgermeister. He married Helene Braun (born 1910)
in Schneebergerhof. She is the daughter of Carl Braun and Margaretha
Schreiber from Schneckenhausen. They married in 1930 and had two
children:
1. Margaretha Maria ( named Greta) was born in
1930 and married Johannes Muller in 1932
in Oppau from Weitersweiler. They had two
children:
a. Birgit (1959- )
b. Klaus (1964 - )
2. Pirmin Johannes (born 1932) married Wiltrud Vollet (born
1936) with son Gerhard (born 1959)
Notes to # 6: Pirmin was born in 1891 and lives in Ludwigshafen.
He had a daughter, Ellen, who has already died.
Notes to # 8: Robert (1900 - 1972) married Marianne Putsch.
They have a daughter, Christel, who married Armin Keiper
from Wuppertal. Their children:
Ute
Michel
Notes:
Robert built, after the end of W.W. II, in Ruppertsecken, a hotel. After his death, it was replaced by a small old folks home.
A member of this family explained to me that he was not interested in family history and therefore gave me no information.
-57-
Speyer
Philipp lived from 1829 until 1890. He was born in Ruppertsecken on
14 Sept. 1829 and is the son of Johannnes Dhom (1797 - 1868) and
Elisabeth (1799 - 1874), she being the daughter of Urban and Margaretha
(Koch) Dhom.
He decided to become a priest and was ordained on 10 Aug. 1853 in
Speyer. He was the chaplain in Landau for a short time and, in 1856, the
chaplain in Kriegsfeld where he also worked a short time.
For twelve years, he was priest in Obermoschel and finally returned to
Speyer. He was named to the office of Bishop on 16 Nov. 1870 with the
ceremony taking place on 15 Jan. 1871. He died on 23 Dec. 1890 in a
cloistered order in Waldbreitbach by Koblenz.
-58-
Bitsch - Muhlbach in Bruch
Since the first name Johannes in the Dhom line is very pleasing. I
must, for the best understanding, in our case somewhat further explain,
for now we come to a Johanness who lived from 1854 - 1919. First of all, we
must mention his ancestors.
The parents were Johannes who was born in 1824 in Ruppertsecken
and died in 1905 in Marienthal. He married the second time to Christine
Doerr (1817 - 1891.) Grandparents of our Johannes were Johannes
(1797 - 1868), who lived in Ruppertsecken and his wife, Maria Elisabeth
Dhom (1799 - 1874). Who was this Maria Elisabeth Dhom? She was the
daughter of Urban Dhom and Margaretha Koch who originated in Imsweiler.
Through this marriage, the Dhom relationship comes somewhat closer.
About the couple Urban and Margaretha will be found more information on
another page. Now back to our Johannes, born 1854 - 1919.
I shall refer to the greatest part of the information given to me by
the teacher Hedwig Dhom who lives in Bruchmuhlbach (today called Muhlbach
in Bruch). From the following pages it should be easily noticed that
Hedwig and her father, Johannes, are very interested in family history.
While Johannes (born 1851) attended the (Gymnasium) in Speyer,
he lived in a guest house. (A Gymnasium is a school that is a little more
advanced than our high school). He retired from military service in Metz
and went to work for the railroad in Elsass-Lothringen. Finally, he took
over the office of railroad station attendant in Steinburg by Zabern in Elsass.
After the end of the war, he moved to Rockenhausen where he died on 18
Feb. 1919. The family lived in Rockenhausen on Schloss-Strasse (Castle-
Street). Today, in that place, is to be found a textile business.
-59-
Johannes married Maria Lang who originated from Hottweiler by Bitsch.
Children of the couple are:
A. Maria (1887 - 1976) Bruchmuhlbach.
B. Alexander (1890 - 1930) was a pastor in Muhlbach in Bruch.
C. Anna (1891 - ) married Jakob Bossong.
D. Emil (1894 - 1914) died in W. W. I
E. Hedwig (1895 - ) Bruchmuhlbach.
Information
To. B: Alexander attended the Gymnasium in Zabern and Metz and
studied theology in Metz until the beginning of W.W. I. He then became a
soldier in the garrison Braunschweig and finally lieutenant in the
infantry. He earned various souvenir decorations by the American Garrison.
After the wars [sic] end, he resumed his studies in Mainz and Speyer. His
ordination took place 11 July 1920 in Speyer and his ordination
celebration on 18 July 1920 in Rockenhausen. He worked as chaplain in the following
places: Herzheim, Kirchheimbolanden, Frankenthal, Bad Durkheim, and
Steinfeld from Dec. 1923 until the end of 1928. He was Expositus in Grethen
and on 1 Jan. 1929 Pastor in Muhlbach in Bruch. He died 1 Dec. 1930 in
Muhlbach.
The priest of Muhlbach in Bruch, Alexander Dhom, died at the age of
40, at the height of his life after a short illness. He was born in Bitsch
as the son of a civil service family. He entered his theological studies in Metz,
during which time the 1st world war broke out. He served from the beginning
until the bitter end on front lines. No wonder his health suffered. All too
early was he taken from his pastorship.
-60-
Notes to C:
Anna was born in 1891 and married her cousin, Jakob Bossong from
Marienthal. The relationship can be explained as follows:
Konrad Bossong from Schweisweiler married Katharina Dhom (born
1875) in Marienthal. She was the omly daughter of Johannes and Christine
Dhom. Katharina was also the sister of our Johannes.
The children and grandchildren are:
1. Josef was born in 1923 and married Gretel Masur (born 1913).
a. Georg (born 1948)
2. Anni was born in 1924 and married Hugo Ruther (born 1909)
(a) Barbara
(b) Marianne
(c) Brigitte
(d) Doris
(e) Thomas
(f) Michael
(g) Christian
(h) Annette
3. Hermann (actor) died in W.W. II.
4. Robert married Lore Grimm (the marriage is separated)
(a) Brigitte
(b) Mathias
5. Konrad was born in 1937 and married Christel Theis (born 1938)
(a) Andreas (born 1965)
Notes to E: Hedwig attended athe Hohere Madchenschule (a finishing
school for young ladies of about 14 years
of age and up) in Zabern and became [attended?]
a teacher seminar in
Schlettstadt. Until she moved to
Rockenhausen,
she was a teacher in Lothringen. She was employed in the pfalzischen
school service in Bruchmuhlbach from 1940 until 1961.
-61-
Homburg - Saar
The youngest son of Johannes Dhom (1824 - 1905) and Christine Doerr
(1817 - 1891) received the name Heinrich who so far in this Dhom family
history has not been mentioned.
Dr. of Philosophy, Heinrich Dhom, was born 7 Aug 1859 and died 24
Nov. 1928. He was Gymnasium teacher, professor and head studies advisor
in Freising, Schweinfurt, Eichstatt, and Regensburg. He died at the home
of his son, Dr. of Medicine Heinrich Dhom, Sanitoruim Strobing, Post Endorf.
Obb. on 23 Nov. 1928. He married Elise Hause, who was born 8 Feb. 1862 and
died 7 March 1947 in Regensburg.
(The next few pages are being told by Georg Dhom who is the grandson
of Heinrich Dhom).
My grandfather, Dr. Phil. Heinrich Dhom, spoke two foreign
languages, English and French. He also studied Hebrew and Sanskrit. During the time
he was gymnasium teacher in Eichstatt he had his leg amputated due to a
chronic bone disease. The operation took place at that time in his home.
By his amazing trust in God, he was able to withstand the deaths of two of
his children. His daughter, Hemine, was already dead fourteen years when in
1914 his son, Robert, suffered a hero's
death. He and his wife lived in the house of my
parents in Strobing and I only remember him from my early childhood. He was a little fat, stout,
jolly man who loved his Pfalzish homeland above
all. He regularly received a
packet of sausage and wine from his home.
During 1926 - 1927, my parents took the grandparents to France to
visit the grave of the son and brother which was a great auto trip for that day.
Dr. Heinrich Dhom died in the home of my parents from a stroke and is
buried in Regensburg in the grave of his earlier deceased daughter,
Hermine.
-62-
Dr. of Phiposophy Heinrich Dhom had three children, namely:
1. Dr. of Medicine Heinrich Dhom was born 25 June 1890 in
Schweinfurt, and died 18 Jan. 1958 in Munich.
2. Robert Dhom was born 22 June 1893 and died 22 Dec 1944 in
W. W. II as company leader.
3. Hermine Dhom was born 9 April 1903 and died 6 May 1917
in Regensburg.
My father, Dr. of Medicine Heinrich Dhom, was the oldest son of Dr. of
Philosophy Heinrich Dhom. He grew up in the house of his parents in
Eichstatt and attended the Gymnasium school. In 1910 he began the study
of medicine and studied in Munich and Berlin. In 1914 after the outbreak
of W. W. I, he became a medic on the battle field. In 1917 he married my
mother, Barbara Heim, who was born 12 Aug. 1893, and is now living in
Wurzburg, Salvator Street 22.
My mother is a daughter of the one time known Reichstag representative
and Barischen farm leaders (Farmers doctor) family. Dr. Georg Heim and my
grandfather, Dr. Phil. Heinrich Dhom were very close friends and both of
them were also schoolmates. The two men formed a partnership to minister to
the medical needs of the Bayrischen farmers of the area.
After the war, my father built, in 1918, a Sanatorium (medical
building) in Strobing, Post Endorf Obb. In Strobing there was before the Sanatoruim a
brewery. Georg Heim bought the brewery in order to transform it and make
a place for the farmers to receive medical treatment. The Sanatorium
flourished very fast and was equipped with all modern medical equipment.
My father, Heinrich Dhom, during the war years only, worked on the front
lines in
Lazaretten. He taught himself the use of modern x-ray equipment and the
physical treatment method.
-63-
As the son-in-law of the Nazi hated farmers doctor, my father lost
his place as the chief doctor in Strobing.
As a practicing doctor, he established himself in Eichstatt, the city
of his childhood. After difficult beginning years, he finally acquired a
large practice. He was not only the doctor of the poor farmers, but also of
the blacks and Jews which he fearlessly and intensively treated. This soon
led to the hatred of the Burgermeister (mayor) and area leader who was also a
doctor. My father was finally forbidden to enter the hospital. As his
position became more and more difficult, the power of the Pratei became ever
greater, under the later in Nurenberg hanged district leader Streicher became ever [sic]
greater as he, in 1937, entered the Wehrmacht and hung his practice on a
nail.
In 1938, he moved to Regensburg. During W. W. II, he was part of the
garrison of doctors in Marienbad and then served as division Dr. in
several of the Russian fronts in Russia. By the war's end, he came to the farmers
American prison in Bad Kreuznach.
After Regensburg, he began again a new beginning in the practice of
medicine and headed the medical office in Regensburg and finally became
head medical councilor in Munich. Shortly after his retirement, he died
on 18 Jan. 1958.
-64-
His three sons are:
1. Robert Dhom was born 16 Dec. 1919 in Strobing, Post Endorf and now
lives in Mammolshaisn-Tauus, on Hasensprung 1. He was a member of the
board of directors of the Commerzbank, Frankfurt and was married to
Irmgard Bluhm (born 1922) from Prestin, Mecklenburg.
They have four children:
(a) Renate Dhom born 1945 in Regensburg.
(b) Annegret Dhom born 1947 in Regensburg.
(c) Mathias Dhom born 1954 in Regensburg.
(d) Christof Dhom born 1960 in Dortmund.
2. Dr. Med. Georg Dhom was born on 16 May 1922 in Strobing, Post
Endorf, Obb. - now lives on 665 Homburg-Saar, Virchovstrasse 28. He is
Professor of Pathology and Anatomy at the University of Saarlandes. He
married Dorothee Springer, born 9 Fev. 1925 in Hirschberg, Riesengebirge/
Schlesien.
They have four children:
(a) Susanne, born 22 Sept. 1949
(b) Elisabeth, born 12 April 1951
(c) Henrich, born 12 March 1953
(d) Georg, born 19 Aug. 1958
3. Dr. Med. Dent. Heinrich Dhom was born 16 Aug. 1925 in Strobing, Post
Endorf, and lived in 8700 Wurzburg. He is a dentist with his own
practice in Wurzburg and is married to Agnes Jochner, born 1927 in Arnsdorf in
Niederbayern.
They have two children:
(a) Andreas, born 1952
(b) Stefan, born 1955.
-65-
We three sons, Robert, Georg, and Heinrich, have lived a wonderful
childhood in the house of our parents in Strobing. The doctor's house
stands alone at the edge of the trees separated by a path from the
Sanatorium. We had chickens, rabbits, dogs and cats and through the
large farm operation connected with the Sanitorium, we lived a free and
wonderful life being close friends with the farm hands, horses and cows.
There my grandfather, on my mother's side, Georg Heim, was also with us over
most of the summer. We also took part in the political time of 1933.
At that time, there were interesting guests and speakers at our
house, in [sic] the kitchen piles of cakes and cookies had to be baked and above all,
we saw very interesting big cars of the times like Bugtti, Chevrolet,
Brennabor, Steyr, and so forth.
One time was the crown price Rupprecht a guest in our house and I
remember my parents carefully taking down a picture of Bismark so as not
to offend the other guests. After the coffee, we children were carefully
cleaned up and presented to the Crown Prince.
The Crown Prince offfered me a piece of cake; I thanked him politely,
but reminded him I had already eaten a better piece in the kitchen.
It became exciting for us since before our house the Bavarian guards
began to drill on the path, it was a half military organization of the
party of my grandfather, the Bavarian Peoples Party. At that time, each party was en-
gaged in a political war to the political battle of the protection of the
military. The greatest speech of my grandfather Heim we heard on the radio and al-
ready as children we took enthusiastic part in the election results.
When Hilter came into power, everything was gone. We occupied an old apart-
ment house in Eichstatt which lay lay romantically on the city wall. As
we emerged from the train in Eichatatt I called loudly to my father, "Have you
already had a patient?" Naturally, that was very painful to my mother.
We lived very modestly at that time and purchased the very smallest
car which was driven day and night over the bad steets of the Jura Mtns.
and to the many villages there.
-66-
The farmers of the area had a very
difficult time in their fields due to the fact
that it seemed that the fields had
more stones than dirt. They had
no money to pay for medical treatment and so they bartered with my mother.
Often have I heard them say "Mrs. Doctor, will you trade for a goose?"
Often times in the fall, my mother could not afford to feed them.
My father, however, took them as part of the price and many poor
people he treated for (Gotteslohn - God's wages) out of the goodness of his
heart.
It happened again that polictical hardships set in.
We boys were in the meantime attending the Gymnasium school and
were members of the Catholic Organization of St. Georg. The forceful
Hilter youth organization opposed the Organization of St. Georg, which forced us
to meet in secret which naturally made things more interesting and
stimulating. Through legal force, I was made to join this Hitler youth organization
and then almost immediately was thrown out with abuse and dishonor be-
cause I was not participating fully.
In 1938 my father was in the military and we moved with the parents to
Regensburg again to make a new beginning. We got accustomed very
quickly to this beautiful old city.
In 1939 my brother, Robert, took his exam. He wanted to become an
officer and in the fall right after the war's beginning, he became a Cadet
officer in the infantry regiment in Ingolstadt.
Because of my father's example, I decided on a career as a military
medical officer and in 1939 with seventeen years a Cadet officer, the
exam was presented.
My mother stayed alone with my younger brother, Heinrich in Regens-
burg.
My brother, Robert, took part as a lieutenant in the advance march
and the first return march in Russia. Later, he was assigned to the
General's staff. With luck, he was able to prevent becoming assigned to
the SS - Staff.
-67-
After the war, he studied the political economy in Munich and he
followed the same goal as his grandfather Heim, that being to work in the
farming coop.
Because of an old animosity against the name Heim, he entered the
banking industry. Today he is a member of the board of the Commerzbank
in Frankfurt. Previous to this, he had a fast career in Koln,
Dussseldorf, and Dortmund.
My brother, Heinrich, was also a soldier with the storm artillery and
withdrawal forces in Italy and in 1944, still on a mission which turned
out to be in an English prison. After his return home, he finished his exam
in Regensburg and then studied dental surgery in Wurzburg. After many years
of service as an assistant at the university's dental clinic in Wurzburg,
he settled himself in the center of the city where today he has a flourishing
practice.
I myself had the good fortune to study
medicine during the war as a member of the
army medical service. I was previously with army medical
company on the battlefields in France. For a short time, I was a medical
officer with an Infantry battalion in Russia. I studied medicine in
Wurzburg, Munich, and Berlin. In Feb. 1944, I took the state exam,then until 1946,
I worked in a war prison hospital in Regensburg. After two years of
service as an assistant in the stat hospital in Weiden-oberpfalz, I entered, in
1948, the Pathology Institute in Regensburg and in 1950, followed my Chief Professor
Dr. of Medicine Eugen Kirch to the University of Wurzburg.
Ten years later I was the professor of pathology there. In 1965, I
was called to the teachers school for pathology at the University of the
Saarland and since then, I have lived with my family in Homburg.
In 1970 in order not to break my connection with the Institute in
Homburg and hopefully to have more time for my scholarly preference, I ac-
cepted the call to the University of Munster.
George Dhom
-68-
Gollheimer Hauschen
The Gollheimer Hauschen lies half way between Gollheim and Hamsen
on Roman Street. It displays a study project. Earlier, there was
created there a living and working place. In the middle of the woods, hovever,
on a good street, lies a farming experiment. On both sides of the street lie fields.
Johannes Dhom, born 1863 in Ruppertsecken as the son of Heinrich
Dhom (1825 - 1901) and Margaretha Stollhof (1838 - 1914) bought, in 1913,
this right of way. The houses of this project are the same as duplexes
with the front door belonging to both owners. The farm buildings are laid out
right and left.
Johannes married Franziska Klag, a teacher's daughter from Lohnsfeld.
The family Klag originates from Lohnsfeld, wher the father was a teacher.
Franziska Klag lived from 1875 - 1954. She was, therfore, 83 years old.
The couple reached a beautiful age of 79 and 83 years.
All children of this couple are born in Ruppertsecken with the
exception of Johanna, who was born in Gollheimer Hauschen in 1913. All of this
family lives close to each other in Gollheimer Hauschen, Rosenthalerhof, in
Bolanden, Eisenberg, Grunstadt, Kirchheim on the Weinstrasse as well as
Dirmstein.
Concerning the children of Johannes and Franziska, I shall first name
the sons, therefore the name carriers, and then the daughters.
I. Rudolf (1898 -1974) married Sophi Staubnitz (born 1902).
(1) Manfred was born in 1933 and married Ursula
Rymkiewicz, born 1945. This family lives in Grunstadt.
II. Herman was born in 1901 and married Lisa Wener - no
children. They live in Gollheimer Hauschen.
-69-
III. Heinrich was born in 1903 and married Elisabeth Schneider,
born in 1905.
(a) Hedwig (1930 - 1961) married ? Thiel and lived in
Frankfurt/Main; they had no children.
(b) Marga was aborn in 1932 and married Werner Schumacher,
born 1933.
(1) Thomas, born 1958
This family lives in Frankfurt/Main.
IV. Otto was born in 1908 and married Emilie Homann, born 1913.
(a) Werner, born 1939, married Ute Paulhaber, born 1939
(1) Elke, born 1963
(2) Jurgen, born 1966
(b) Gerda was born in 1940 and married Heiner Schafer, born
1936.
(1) Bernd, born 1964
(2) Peter, born 1967
(c) Norbert, born 1950, married Ute Bender, born 1952
V. Katharina was born in 1900 and married Karl Bauer (1901 - 1934), who
was born in Standenbuhl. He was a blacksmith.
1. Hans was born in Standenbuhl in 1932.
He learned the trade of a men's tailor and later became a cook and ran a cafe
in Dirmstein. He married Ruth Felske and is today the main
agent for an insurance company.
Three daughters:
(a) Karin was born 9 Jan. 1954 and married
Herbert Wellstein, born 1951.
Both are employers of justice in Frankenthal.
-70-
(b) Karla was born 9 Jan. 1956 and married Fritz
Strortzum, born 1950.
(1) Nicole, born 9 Jan. 1976
This couple runs a restaurant in Dirmstein.
(c) Carmen was born in 1960 and has a degree
in the food business.
Note: Three family members have a birthday on the same day.
VI. Maria was born in 1904 and married Peter Krauss, who
was born in 1909, from Kirchheim-Weinstrasse in Eisenberg.
VII. Margaretha was born in 1906 and married Friedrich Schneider
(1903 - 1967) from Eisenberg. They lived in Eisenberg.
VIII. Barbara was born in 1907 and married Philipp Gerhard,
born 1904, from Bolanden and lived in Bolanden with four children:
(a) Otto was born in 1929 and married Maria Frank from Alsfeld
with these children:
(1) Peter, born 1952
(2) Christine, born 1954
(3) Eva Maria, born 1956, married Erwin Berger.
They had Daniel Peter, born in 1975
(4) Andreas, born 1961
(b) Ingemarie was born in 1931 and married Lothar Muller,
born 1922 from Oggersheim.
They had three daughters:
(1) Heidi, born 1952
(2) Barbara, born 1954
(3) Carmen, born 1958
(c) Waltraud, born 1935
(d) Henriette, born 1938, married Alexander Wagner, born 1938,
from Ludwigshafen-Oggersheim.
Three children:
(1) Michael (1956) (2) Rolf (1962) (3) Corinna (1966)
-71-
IX. Franziska was born in 1911 in Ruppertsecken and married Heinrich
Siegel, born 1905 in Kirchheim/Weinstrasse. He died in 1964. This
couple runs a restaurant in Kirchheim/W. This couple has no children.
X. Johanna was born in 1913 in Gollheimer Hauschen and married Georg
Siegel, born 1909. They lived in Kirchheim-Weinstrasse with five
children:
(a) Elisabeth was born in 1934 in Gollheimer Hauschen and married
Hans Schmidt, born 1931 in Eisenberg. He is a mason.
(1) Axel was born in 1958 and is an apprentice in
electroswitchboards.
(b) Gunther was born in 1936 in Gollheimer Hauschen - single-
auto-electrical worker.
(c) Otto was born in 1939 in Gollheimer Hauschen and married
Irmgard Kramer, born 1939 in Grunstadt. They have two
children:
(1) Klaus Gunther, born 1959
(2) Christel, born 1962
The family lives in Kirchheim - W.
(d) Christel, born in 1942 in Kirchheim/W., married Ingo Lohr, born in
1941 in Eisenberg with two children.
(1) Elka, born 1964
(2) Petra, born 1965
The couple operates a printing business and sells office equipment.
(e) Peter, born 1945 in Kirchheim-Weinstrasse, married Doris
Martinack, born 1949.
No children.
He is employed in chemistry and she in the food processing business.
-72-
Afterword
In the year 1903 Joseph Hoffman I was the priest helper in Imsweiler.
He said that he was related to the Dhoms. This also establishes Lusie
Dhom from Schweisweiler. The relationship is as follows:
Johann Grassstatter from Falkenstein married Christine Thom (in) from
Ruppertsecken. Their daughter, Franzisca, married Johann Friedrich
Hoffmann. A son of this marriage is Heinrich Joseph, who married Anna
Maria Siebenwurst. The fith child of this marriage is Joseph, born 22
Nov. 1873 in Biedesheim by Gollheim. On 13 Aug. 1899, he became the priest
in Speyer. On 27 April 1916, he died while he was the priest in
Frosskaribach.
His stations as priest are:
1899 Chaplain in Gossersweiler
1901 Chaplain in Zweibrucken
1903 took leave of absence due to illness
1903 Chaplain in Imsweiler
1905 Chaplain in Germerswheim
1906 Chaplain in Dahn
1908 Chaplain in Eailammer
Priest supervisor in Schallodenbach
1910 Priest in Gresskarlbach
In my research, I find no Christine Dhom; still her existence is
proven.
Copyright © 2004 Robert E. Sweeney and individual Contributors. All Rights Reserved. Prior written permission is required from Robert E. Sweeney and individual Contributors before this material can be printed or otherwise copied, displayed or distributed in any form. This is a FREE genealogy site sponsored through PAGenWeb and can be reached directly at ~Sullivan County Genealogy Project (http://www.rootsweb.com/~pasulliv)